Open Access

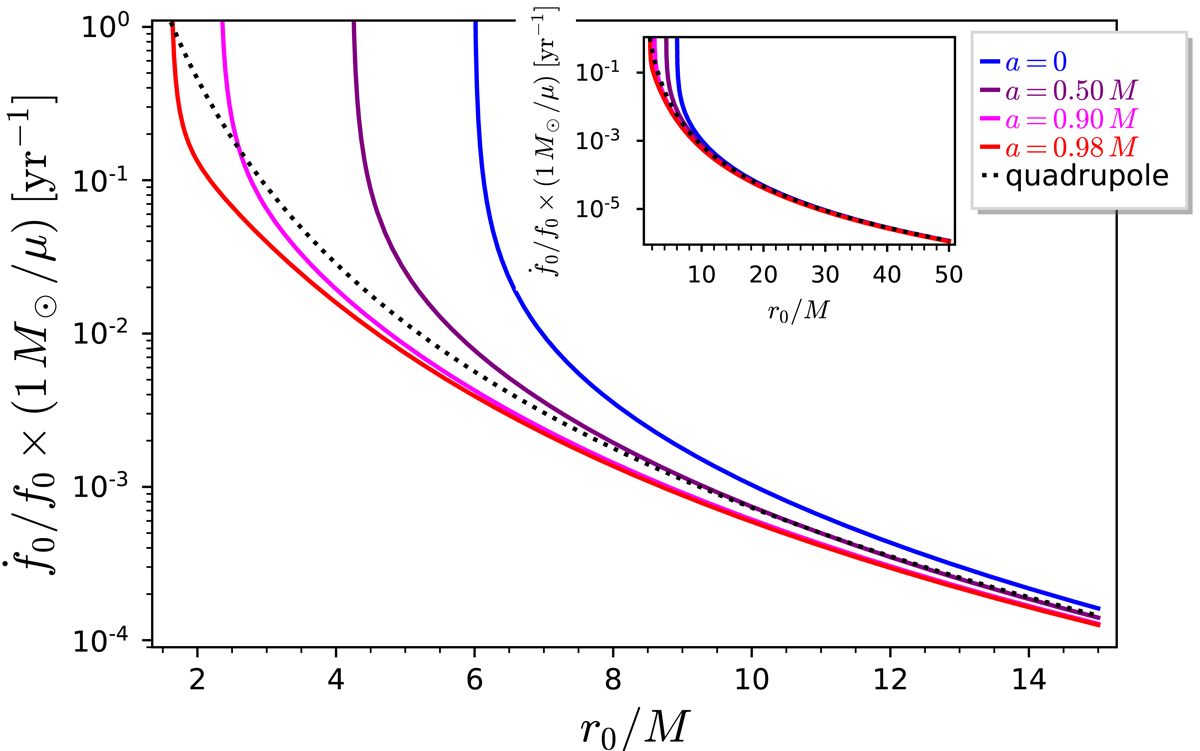
Fig. 9.

image

Relative change in orbital frequency 0/f0 induced by the reaction to gravitational radiation for an object of mass μ in circular equatorial orbit around Kerr BH of mass M equal to that of Sgr A* as a function of the orbital radius r0 (Eq. (36)). Each curve has a vertical asymptote at the ISCO radius for the corresponding value of a. The dotted curve corresponds to the quadrupole approximation and quasi-Newtonian orbits. The inset shows the curves extended upto r0 = 50 M.

Current usage metrics show cumulative count of Article Views (full-text article views including HTML views, PDF and ePub downloads, according to the available data) and Abstracts Views on Vision4Press platform.

Data correspond to usage on the plateform after 2015. The current usage metrics is available 48-96 hours after online publication and is updated daily on week days.

Initial download of the metrics may take a while.