Open Access

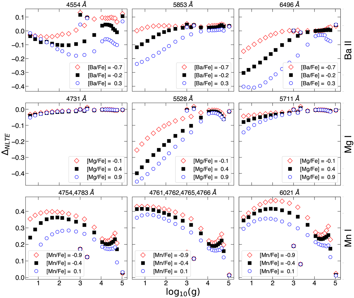
Fig. A.1

image

Ba, Mg, and Mn NLTE abundance corrections as a function of surface gravity for all models listed in Table 2. For Mn the lines are grouped in multiplets and the average NLTE correction is shown. The black “□” represents the corrections for a typically measured LTE abundance as reference. The blue “°” and the red “♢” show the corrections for an 0.5 dex increased and decreased reference abundance, respectively.

Current usage metrics show cumulative count of Article Views (full-text article views including HTML views, PDF and ePub downloads, according to the available data) and Abstracts Views on Vision4Press platform.

Data correspond to usage on the plateform after 2015. The current usage metrics is available 48-96 hours after online publication and is updated daily on week days.

Initial download of the metrics may take a while.