Open Access

This article has an erratum: [https://doi.org/10.1051/0004-6361/202449899e]


Table 1

Rotational partition function for isocyanic acid (HNCO).

T(K) (a) Qrot(direct sum) (b) Rel. diff. (%) (c)
2.725 2.43 5.51 55.92
       
5.0 5.86 9.82 40.32
       
9.375 14.80 18.45 19.76
       
18.75 41.48 42.83 3.15
       
37.50 116.77 117.31 0.46
       
75.0 329.50 331.99 0.75
       
150.0 930.86 943.72 1.36
       
225.0 1709.42 1742.08 1.87
       
300.0 2631.32 2692.23 2.26
       
500.0 5660.36 5810.29 2.58
       

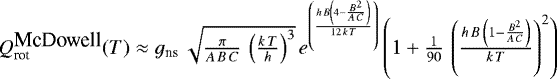
Notes. Comparison between the direct sum values and the classical approximation. Nuclear spin degeneracy is considered as 1 (for more details, see Appendix A). (a)Rotational partition function computed with approximated rotational partition function for slightly asymmetric tops given by McDowell (1990): . (b) Rotational partition function computed as a direct sum with Eq. (7) considering the predicted rotational energy levels up to J = 135 and Ka = 30 (Lapinov et al. 2007). (c)Relative differences.

Current usage metrics show cumulative count of Article Views (full-text article views including HTML views, PDF and ePub downloads, according to the available data) and Abstracts Views on Vision4Press platform.

Data correspond to usage on the plateform after 2015. The current usage metrics is available 48-96 hours after online publication and is updated daily on week days.

Initial download of the metrics may take a while.