Free Access

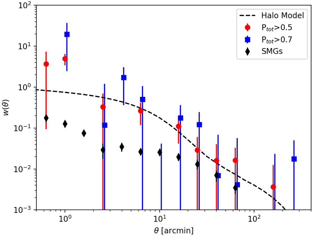
Fig. 5.

image

Auto-correlation of SHALOS SLGs with Ptot >  0.5 & 0.7 compared with the theoretical estimation using the González-Nuevo et al. (2017) observed cross-correlation parameters. The González-Nuevo et al. (2017) measured auto-correlation of the H-ATLAS high-z sources (black circles) is also shown as a comparison.

Current usage metrics show cumulative count of Article Views (full-text article views including HTML views, PDF and ePub downloads, according to the available data) and Abstracts Views on Vision4Press platform.

Data correspond to usage on the plateform after 2015. The current usage metrics is available 48-96 hours after online publication and is updated daily on week days.

Initial download of the metrics may take a while.