Free Access

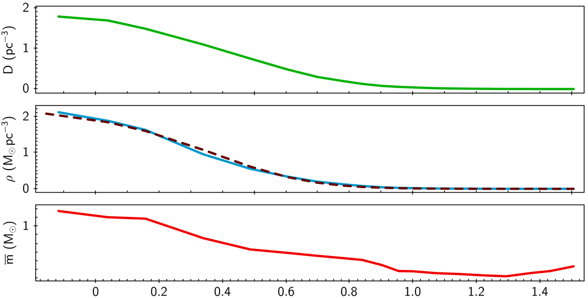
Fig. 4.

image

Number density D, mass density ρ, and average mass per star as a function of the logarithm of the distance from the centre rc. A bin size of 2 pc in steps of 1 pc is used within 10 pc; beyond this the bin size is increased to 4 pc to get a better signal-to-noise ratio. From top to bottom: the number density D as a green curve, the observed mass density (blue curve), and a density distribution (black dashed line) from a Plummer model (Eq. (5)) with Mt = 483 M and rco = 3.7 pc, the average mass per star (ρ/D) as a red line.

Current usage metrics show cumulative count of Article Views (full-text article views including HTML views, PDF and ePub downloads, according to the available data) and Abstracts Views on Vision4Press platform.

Data correspond to usage on the plateform after 2015. The current usage metrics is available 48-96 hours after online publication and is updated daily on week days.

Initial download of the metrics may take a while.