Free Access

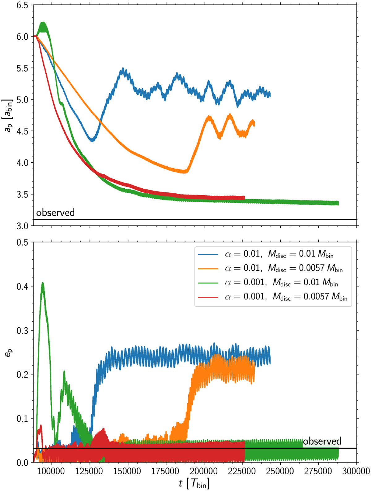
Fig. 12

image

Evolution of the semi-major axis and eccentricity of an embedded planet in discs of different masses and viscosities. The planet is inserted at a time 88 000 Tbin on a circular orbit with ap = 6 abin and held fixed for the first 2000 Tbin.

Current usage metrics show cumulative count of Article Views (full-text article views including HTML views, PDF and ePub downloads, according to the available data) and Abstracts Views on Vision4Press platform.

Data correspond to usage on the plateform after 2015. The current usage metrics is available 48-96 hours after online publication and is updated daily on week days.

Initial download of the metrics may take a while.