Free Access

Fig. A.2

image

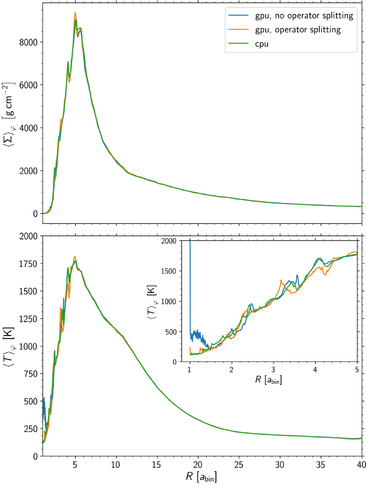
Direct comparison of the disc structure around the binary star for the GPU and CPU versions of the code. The CPU version uses the implementation described in Teşileanu et al. (2008). The GPU uses a simpler implementation described inthis appendix. No operator splitting means that the cooling term is directly added during the hydro step, whereas operator splitting means that after the hydro step an additional differential equation involving only the cooling term is solved (A.7) with a simple Euler method. Shown is the surface density and temperature structure after 1500 binary orbits. The inlet in the bottom panel shows a zoom in at the inner boundary of the computational domain.

Current usage metrics show cumulative count of Article Views (full-text article views including HTML views, PDF and ePub downloads, according to the available data) and Abstracts Views on Vision4Press platform.

Data correspond to usage on the plateform after 2015. The current usage metrics is available 48-96 hours after online publication and is updated daily on week days.

Initial download of the metrics may take a while.