Free Access

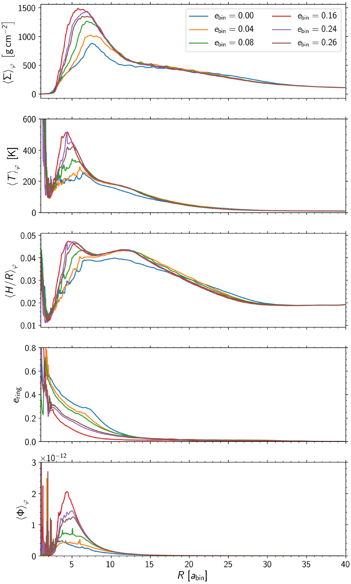
Fig. 6

image

Azimuthally averaged radial disc profiles in equilibrium for different ebin after 180 000 binary orbits. Displayed are the surface density, the midplane temperature, the disc thickness, the disc eccentricity, and in code units the dissipation function (18).

Current usage metrics show cumulative count of Article Views (full-text article views including HTML views, PDF and ePub downloads, according to the available data) and Abstracts Views on Vision4Press platform.

Data correspond to usage on the plateform after 2015. The current usage metrics is available 48-96 hours after online publication and is updated daily on week days.

Initial download of the metrics may take a while.