Free Access

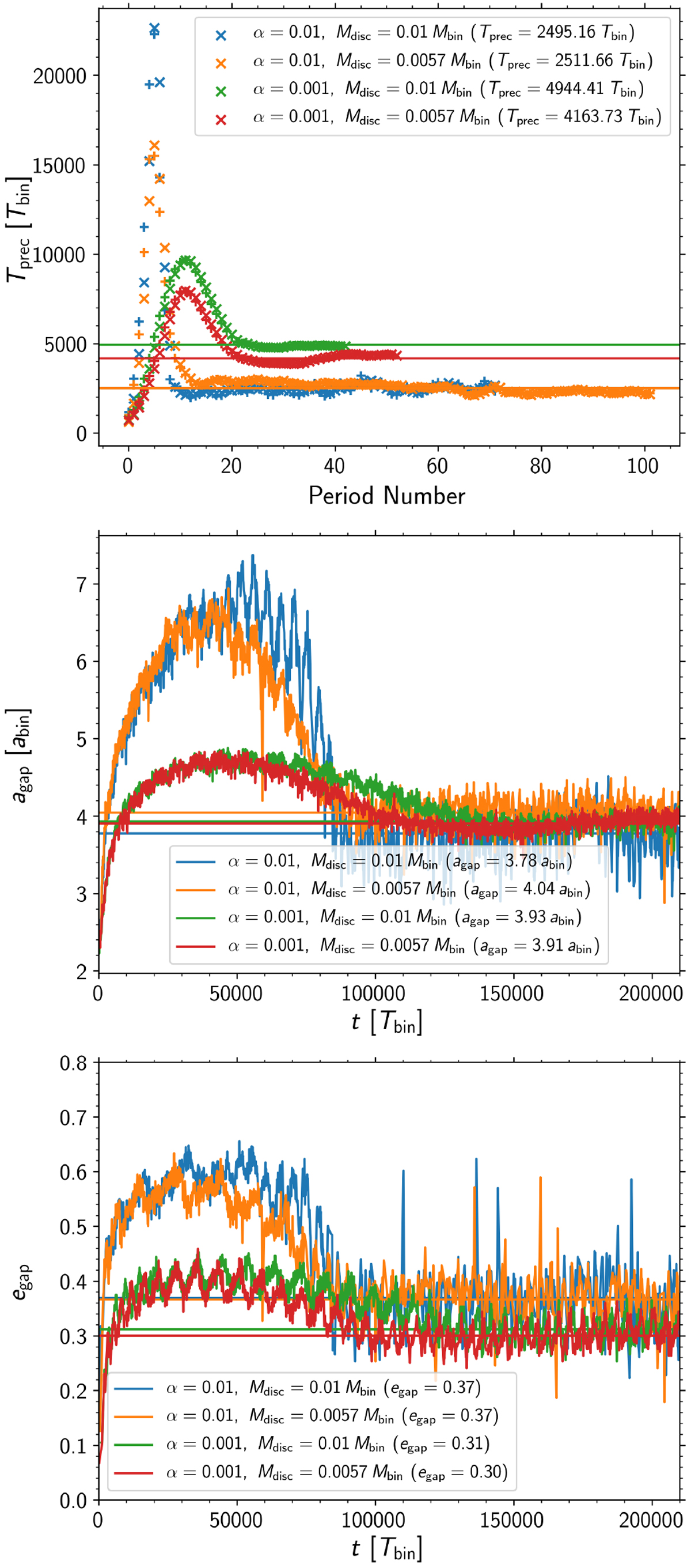
Fig. 8

image

Precession period, semi-major axis, and eccentricity of the disc gap vs. time, for discs with two different disc masses and viscosities. For the central binary we used the parameter of Kepler-38. The horizontal lines indicate time averages starting at 120 000 binary orbits, the time when all discs reached a quasi-steady state.

Current usage metrics show cumulative count of Article Views (full-text article views including HTML views, PDF and ePub downloads, according to the available data) and Abstracts Views on Vision4Press platform.

Data correspond to usage on the plateform after 2015. The current usage metrics is available 48-96 hours after online publication and is updated daily on week days.

Initial download of the metrics may take a while.