Free Access

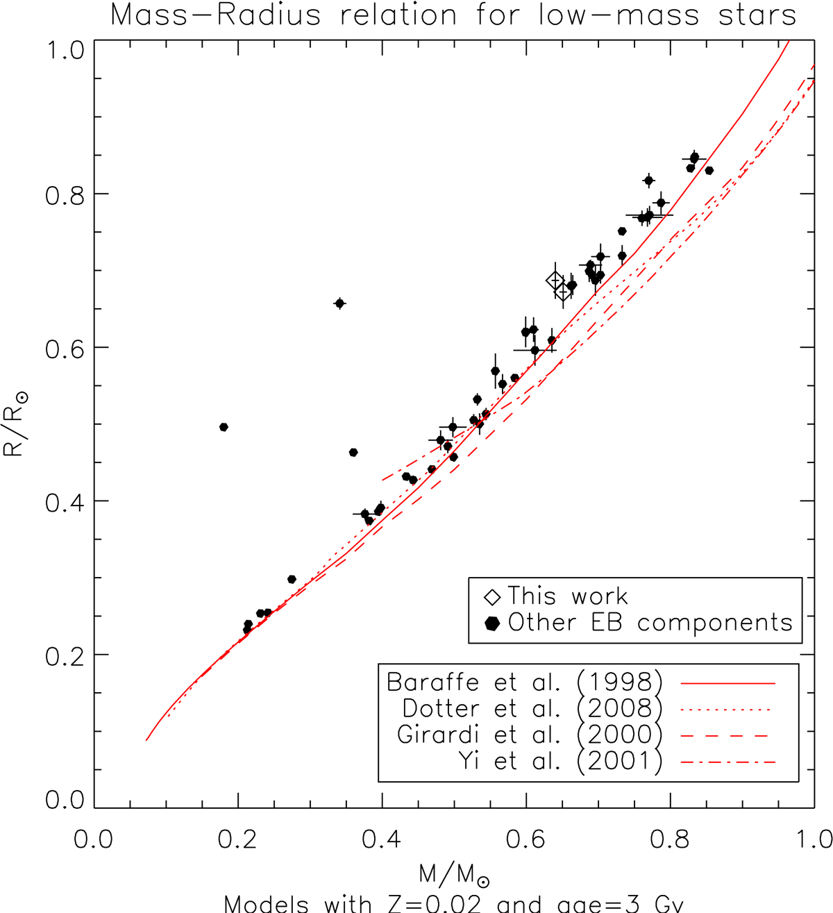
Fig. 7.

image

Mass–radius relations of stars between 0.2 and 1.0 M predicted by four stellar models (see text). The filled circles represent well-known LMDEBs used as benchmarks for the models. The diamonds represent the location of NSVS 10653195 system components. The uncertainties in the parameters are represented by bars, though in many of the systems these are smaller than the symbols. Metallicity and age are set for reference of the whole set of stars and are not a fit to the NSVS 10653195 parameters.

Current usage metrics show cumulative count of Article Views (full-text article views including HTML views, PDF and ePub downloads, according to the available data) and Abstracts Views on Vision4Press platform.

Data correspond to usage on the plateform after 2015. The current usage metrics is available 48-96 hours after online publication and is updated daily on week days.

Initial download of the metrics may take a while.