Free Access

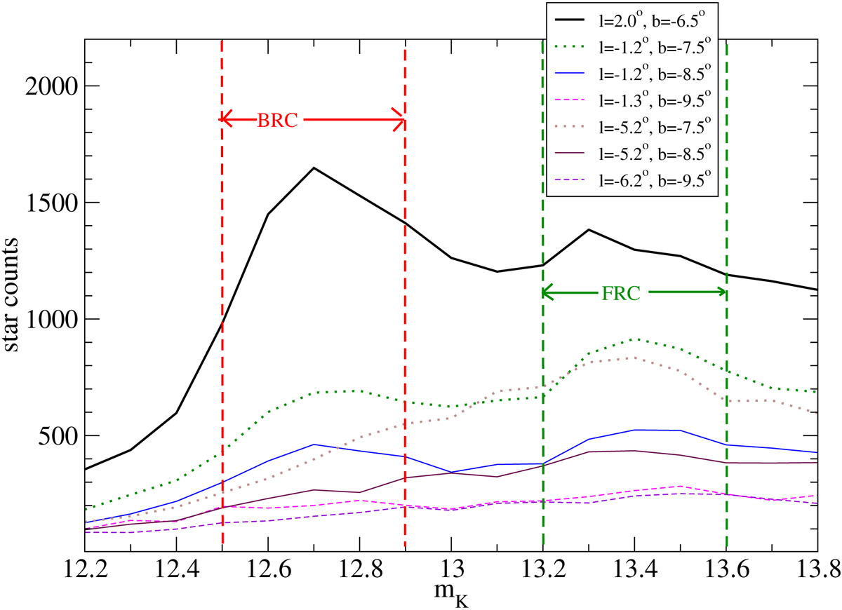
Fig. 3.

image

Star counts of selected stars in different lines of sight. The peak of bright RCGs is between the two red dashed vertical lines. The peak of faint RCGs is between the two green dashed vertical lines.

Current usage metrics show cumulative count of Article Views (full-text article views including HTML views, PDF and ePub downloads, according to the available data) and Abstracts Views on Vision4Press platform.

Data correspond to usage on the plateform after 2015. The current usage metrics is available 48-96 hours after online publication and is updated daily on week days.

Initial download of the metrics may take a while.