Open Access

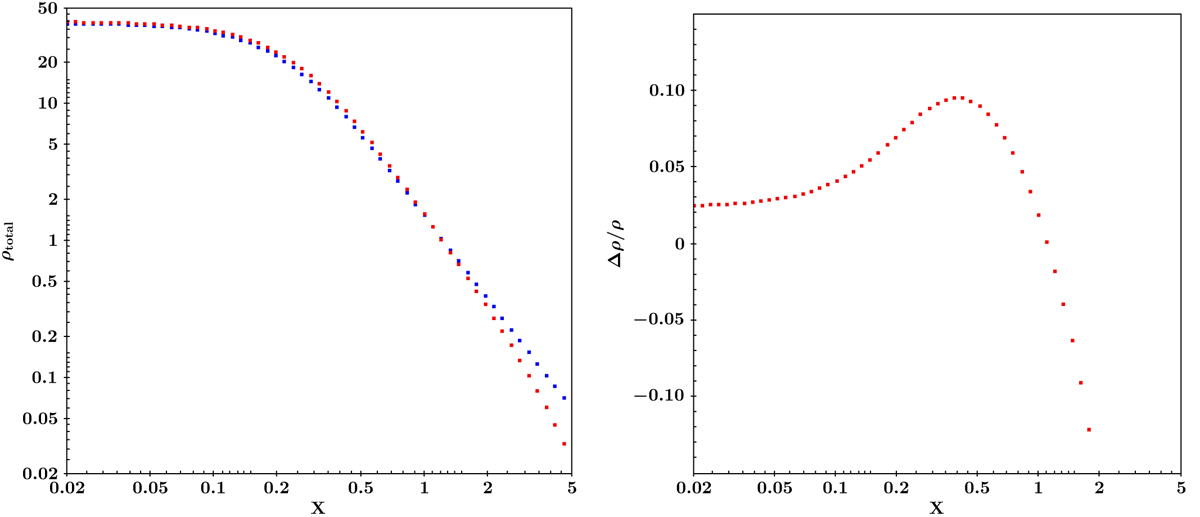
Fig. 16.

image

Accuracy of the Jeans equation for model b = c = +0.3 to recover total mass density ρtotal from Poisson equation. Left: ρtotal along the axis (x, y − 0, z = 0). Right: relative error on ρtotal.

Current usage metrics show cumulative count of Article Views (full-text article views including HTML views, PDF and ePub downloads, according to the available data) and Abstracts Views on Vision4Press platform.

Data correspond to usage on the plateform after 2015. The current usage metrics is available 48-96 hours after online publication and is updated daily on week days.

Initial download of the metrics may take a while.