Free Access

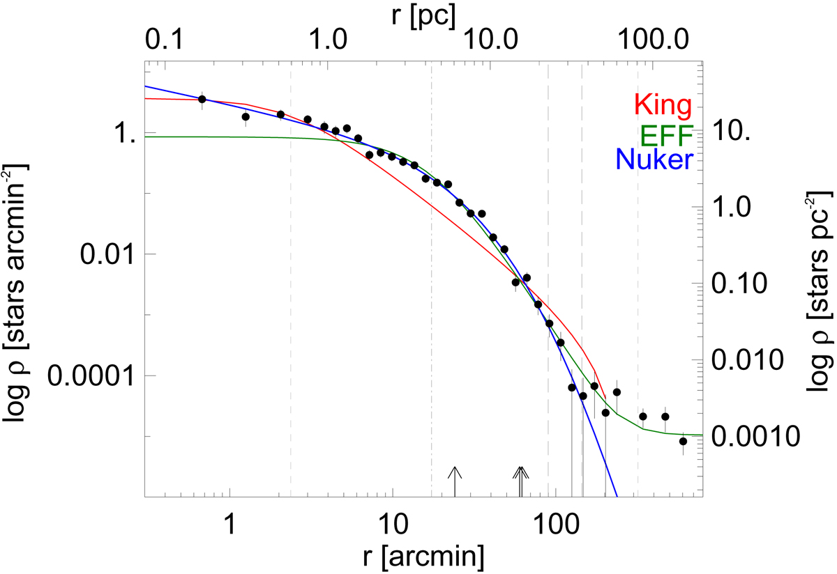
Fig. 2.

image

Stellar radial density profile for M 67 members (black filled circles). The different templates are plotted in different colours (see text for details). Vertical grey lines mark the derived rc and rt for the King (short dashed lines) and Nuker (long dashed lines) templates and rc for the EFF template (dot-dashed line). Small arrows in the bottom show previous cluster size determinations by Bonatto & Bica (2003), Davenport & Sandquist (2010), and Gao (2018) from left to right.

Current usage metrics show cumulative count of Article Views (full-text article views including HTML views, PDF and ePub downloads, according to the available data) and Abstracts Views on Vision4Press platform.

Data correspond to usage on the plateform after 2015. The current usage metrics is available 48-96 hours after online publication and is updated daily on week days.

Initial download of the metrics may take a while.