Free Access

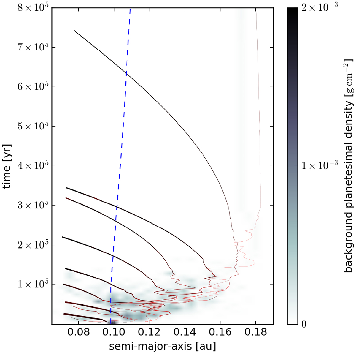
Fig. 4

image

Protoplanet trajectories (solid lines) for one realisation of the fiducial model. The water snowline (depicted by the dashed blue line) is located at around 0.1 au and moves outwards in time due to a decreasing icy pebble flux. Shaded regions depict background planetesimal densities (the protoplanets are not accounted for in these background planetesimal densities). The first planetesimals form after ~ 103 yr. The colour of the solid lines corresponds to the eccentricity of that protoplanet: the redder, the more eccentric its orbit; the blacker, the more circular. The line width is proportional to protoplanet mass.

Current usage metrics show cumulative count of Article Views (full-text article views including HTML views, PDF and ePub downloads, according to the available data) and Abstracts Views on Vision4Press platform.

Data correspond to usage on the plateform after 2015. The current usage metrics is available 48-96 hours after online publication and is updated daily on week days.

Initial download of the metrics may take a while.