Free Access

This article has an erratum: [https://doi.org/10.1051/0004-6361/201935684e]


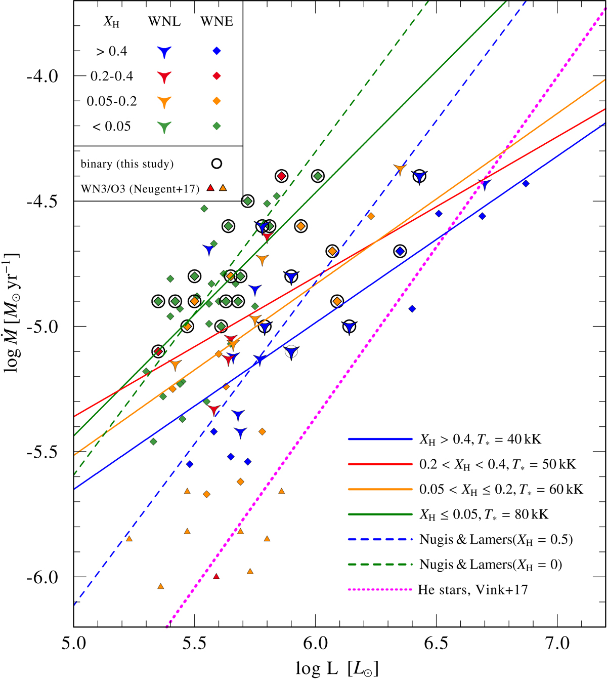
Fig. 22.

image

Positions of the single (adopted from H14) and binary (this work) LMC WN sample on the log L − log  plane. The meaning of the colors and symbols are indicated as in Fig. 4; the binaries are denoted with a circle (see legend). Also shown are the WN3/O3 stars analyzed by Neugent et al. (2017). The projection of Eq. (6) onto the LMC metallicity and different hydrogen content, where there temperature is fixed to typical values per subtype, are plotted. We also plot the commonly used relations published by Nugis & Lamers (2000) for the LMC and for H-rich/free stars and the theoretical relation published by Vink (2017).

Current usage metrics show cumulative count of Article Views (full-text article views including HTML views, PDF and ePub downloads, according to the available data) and Abstracts Views on Vision4Press platform.

Data correspond to usage on the plateform after 2015. The current usage metrics is available 48-96 hours after online publication and is updated daily on week days.

Initial download of the metrics may take a while.