Free Access

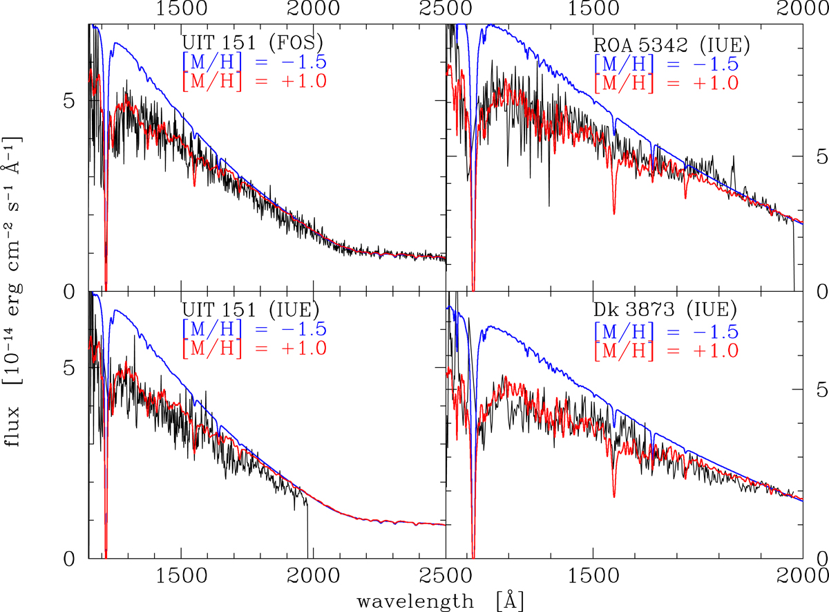
Fig. 3.

image

FOS (UIT151, top left) and IUE (UIT151, ROA5342, and Dk3873) spectra together with model spectra for [M/H] = −1.5 (blue) and [M/H] = +1.0 (red). The model spectra were calculated for the temperature, surface gravity, and helium abundance listed in Table 4. They were reddened by EB − V = 0.13 and aligned to a radial velocity of +232 km s−1. The model spectra were scaled to the observed flux between 2400 Å and 2500 Å in the FOS spectrum and between 1900 Å and 1950 Å in the IUE spectra. Metal-rich model spectra are clearly needed to reproduce the observed UV flux.

Current usage metrics show cumulative count of Article Views (full-text article views including HTML views, PDF and ePub downloads, according to the available data) and Abstracts Views on Vision4Press platform.

Data correspond to usage on the plateform after 2015. The current usage metrics is available 48-96 hours after online publication and is updated daily on week days.

Initial download of the metrics may take a while.