Free Access

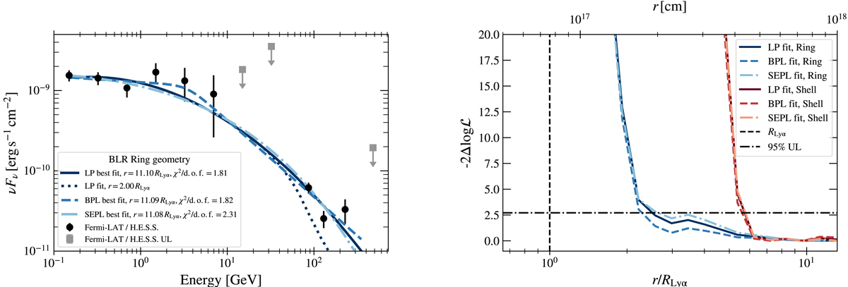
Fig. 6.

image

Left: best-fit spectra for the BLR ring geometry to the combined Fermi-LAT and H.E.S.S. data. Both data sets are corrected for EBL absorption following Franceschini et al. (2008). The spectral shapes do not change significantly, if the shell geometry is assumed instead. Right: likelihood profile as a function of the distance r for the different assumed intrinsic spectra and BLR geometries.

Current usage metrics show cumulative count of Article Views (full-text article views including HTML views, PDF and ePub downloads, according to the available data) and Abstracts Views on Vision4Press platform.

Data correspond to usage on the plateform after 2015. The current usage metrics is available 48-96 hours after online publication and is updated daily on week days.

Initial download of the metrics may take a while.