Open Access

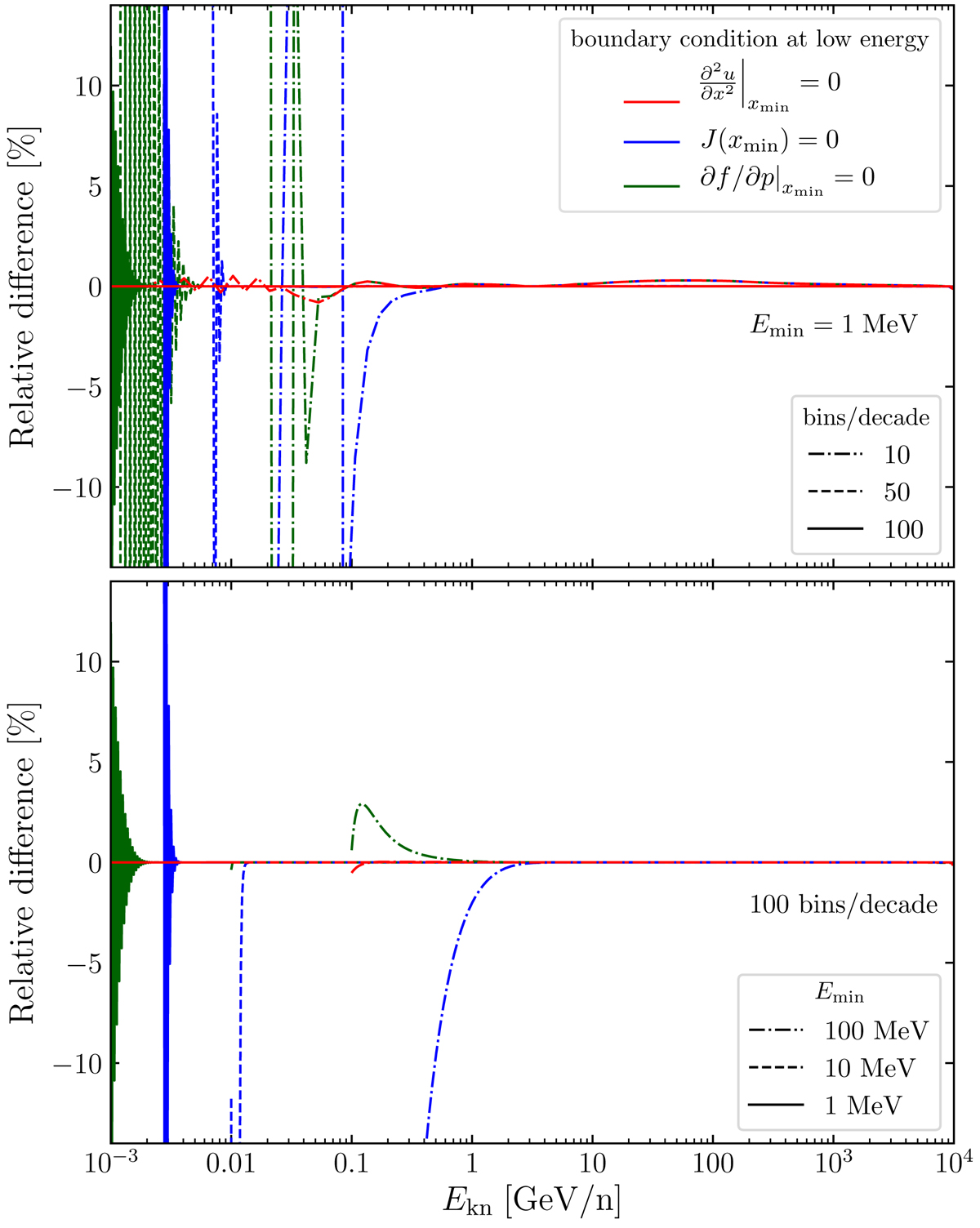
Fig. 1.

image

Relative difference for the B/C computed with different boundary conditions at LE, varying the number of energy bins per decade (top panel) and the minimal energy of the grid (bottom panel). The reference B/C has been computed using 5000 energy bins per decade and setting Emin = 1 MeV.

Current usage metrics show cumulative count of Article Views (full-text article views including HTML views, PDF and ePub downloads, according to the available data) and Abstracts Views on Vision4Press platform.

Data correspond to usage on the plateform after 2015. The current usage metrics is available 48-96 hours after online publication and is updated daily on week days.

Initial download of the metrics may take a while.