Open Access

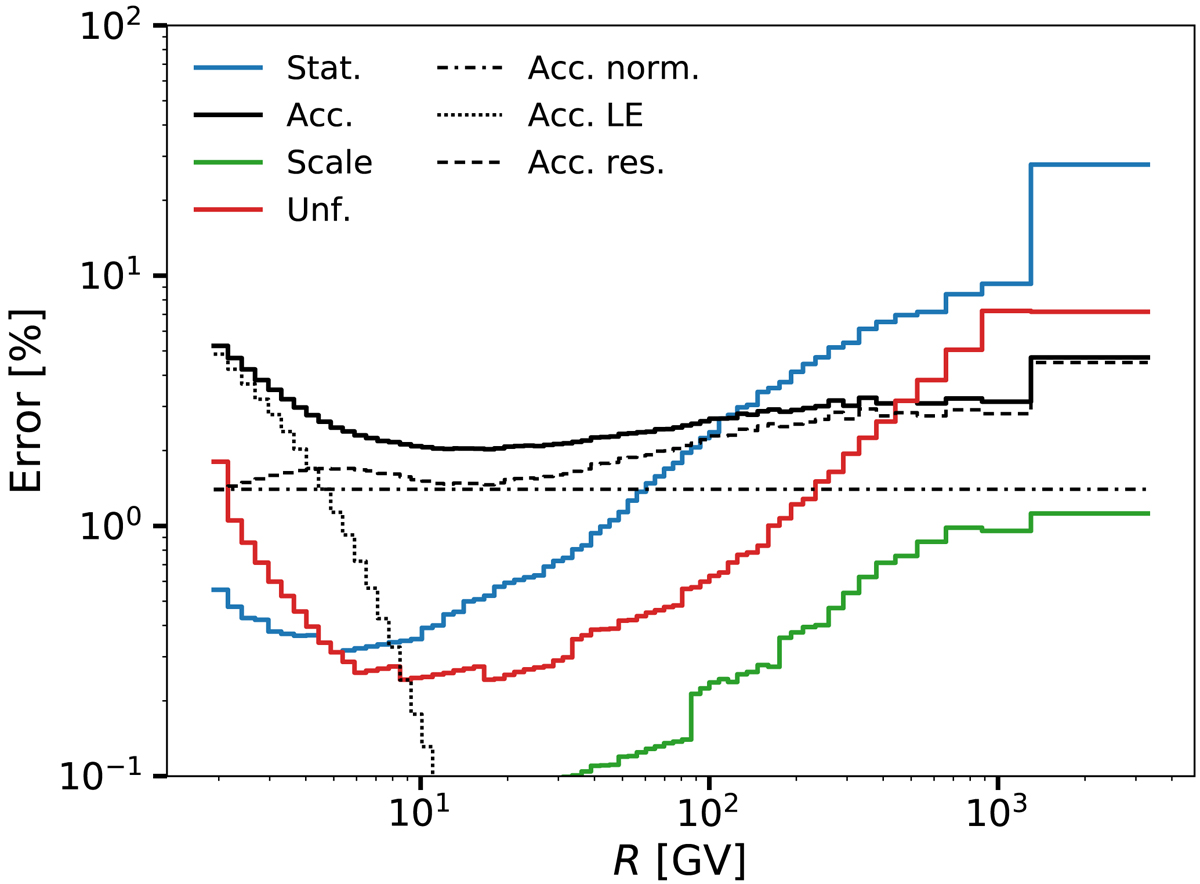
Fig. 10.

image

AMS-02 errors for B/C data. Solid lines correspond to the errors provided in Aguilar et al. (2018b), namely statistical, acceptance, scale, and unfolding (the step-like evolution is artificial and related to the rounding of the values provided in the table). The orange lines correspond to a further split of the acceptance errors: normalisation (norm.), low energy (LE), and residual (res.). See text for details.

Current usage metrics show cumulative count of Article Views (full-text article views including HTML views, PDF and ePub downloads, according to the available data) and Abstracts Views on Vision4Press platform.

Data correspond to usage on the plateform after 2015. The current usage metrics is available 48-96 hours after online publication and is updated daily on week days.

Initial download of the metrics may take a while.