Free Access

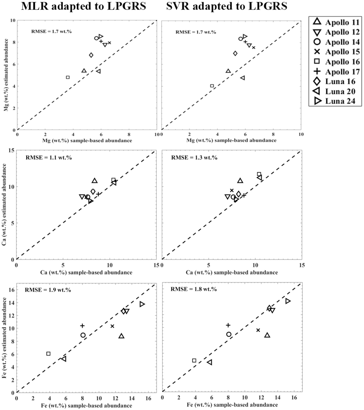
Fig. 3

image

Estimated vs. sample-based elemental abundances for Apollo and Luna landing sites, obtained by the MLR and SVR models. The LP GRS elemental maps of Fe, Ca, and Mg have been used as a reference for the MLR and SVR models. Thesample-based elemental compositions were taken from Elphic et al. (2000). The obtained RMSE values are listed along with the graphs.

Current usage metrics show cumulative count of Article Views (full-text article views including HTML views, PDF and ePub downloads, according to the available data) and Abstracts Views on Vision4Press platform.

Data correspond to usage on the plateform after 2015. The current usage metrics is available 48-96 hours after online publication and is updated daily on week days.

Initial download of the metrics may take a while.