Free Access

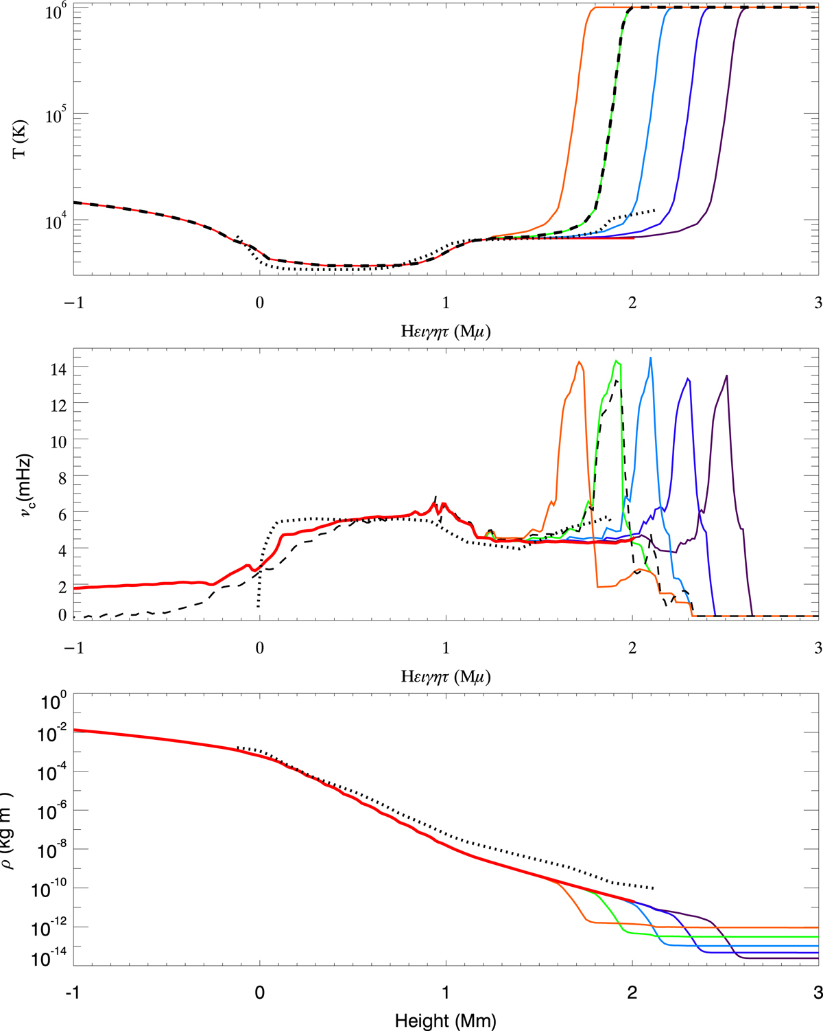
Fig. 1.

image

Temperature (top panel), acoustic cutoff frequency (middle panel), and density (bottom panel) of the sunspot models. They differ in the height of the base of the corona, which is located at 1.8 Mm (orange), 2.0 Mm (green), 2.2 Mm (light blue), 2.4 Mm (dark blue, and 2.6 Mm (violet). The black dashed line corresponds to the magnetoacoustic cutoff of the umbral model with the base of the corona at 2.0 Mm and a vertical magnetic field of 2500 G. The red line is the model without corona. The dotted black line corresponds to the sunspot model M from Maltby et al. (1986).

Current usage metrics show cumulative count of Article Views (full-text article views including HTML views, PDF and ePub downloads, according to the available data) and Abstracts Views on Vision4Press platform.

Data correspond to usage on the plateform after 2015. The current usage metrics is available 48-96 hours after online publication and is updated daily on week days.

Initial download of the metrics may take a while.