Free Access

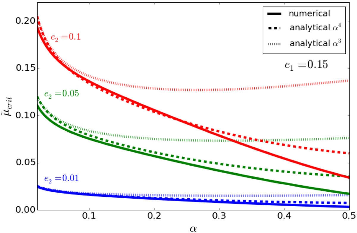
Fig. 10

image

Critical value of above which tidal effects on the planet lead to outward orbital migration. Different colours represent different eccentricities for the planet (same as in Fig. 9) and different types of curves refer to different calculation method: numerical (continuous curves), analytical up to fourth order in α (dashed) and analytical up to third order in the semimajor-axis ratio (dotted line).

Current usage metrics show cumulative count of Article Views (full-text article views including HTML views, PDF and ePub downloads, according to the available data) and Abstracts Views on Vision4Press platform.

Data correspond to usage on the plateform after 2015. The current usage metrics is available 48-96 hours after online publication and is updated daily on week days.

Initial download of the metrics may take a while.