Free Access

Fig. 2

image

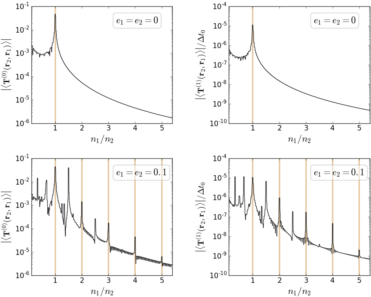
Secular normalized torques of zero-order |⟨T0(r2)⟩| (left column) and first-order |⟨T1(r2)⟩| (right column), computed on m2 due to the tidal deformation on m0 induced by m1, plotted as a function of the mean-motion ratio n1n2. We considered m0 = 1, a1 = 1 and varied a2 to include orbits both interior and exterior to m1. Upper panels: circular orbits (e1 = e2 = 0). Lower panels: eccentric orbits with e1 = e2 = 0.1. Light brown vertical lines highlight the location of some important MMRs. We note that the first-order torques in the right panels are also normalized respect to the time-lag Δt0.

Current usage metrics show cumulative count of Article Views (full-text article views including HTML views, PDF and ePub downloads, according to the available data) and Abstracts Views on Vision4Press platform.

Data correspond to usage on the plateform after 2015. The current usage metrics is available 48-96 hours after online publication and is updated daily on week days.

Initial download of the metrics may take a while.