Free Access

Fig. 6

image

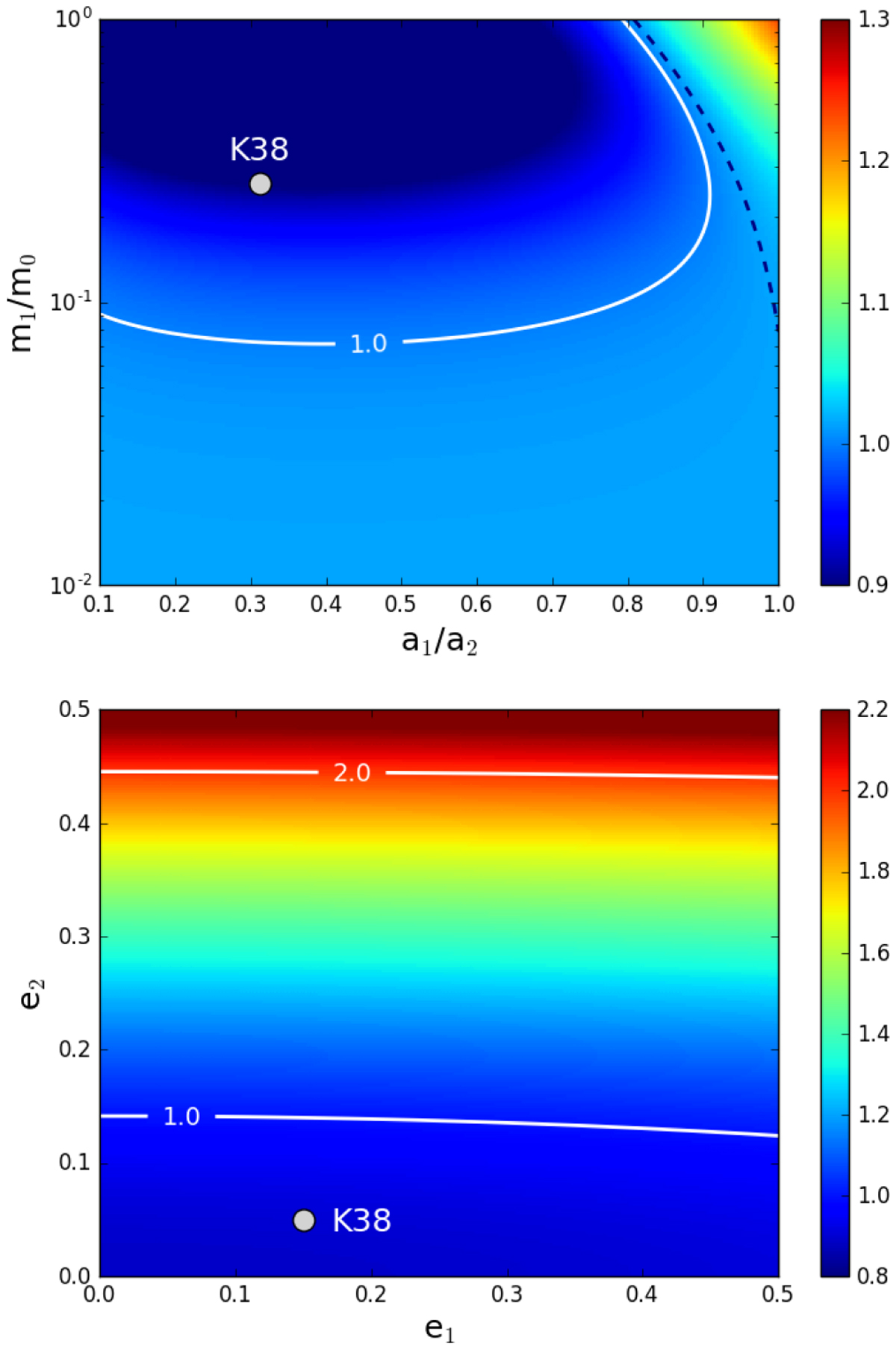
Stationary planetary spin as function of semimajor axis ratio α and mass of secondary star (top), and as function of eccentricities (bottom). All other system parameters were chosen equal to those given in Table 1. The nominal parameters for Kepler-38 are highlighted with a filled white circle and marked as “K38”. Dashed curve in the top graph corresponds to .

Current usage metrics show cumulative count of Article Views (full-text article views including HTML views, PDF and ePub downloads, according to the available data) and Abstracts Views on Vision4Press platform.

Data correspond to usage on the plateform after 2015. The current usage metrics is available 48-96 hours after online publication and is updated daily on week days.

Initial download of the metrics may take a while.