Free Access

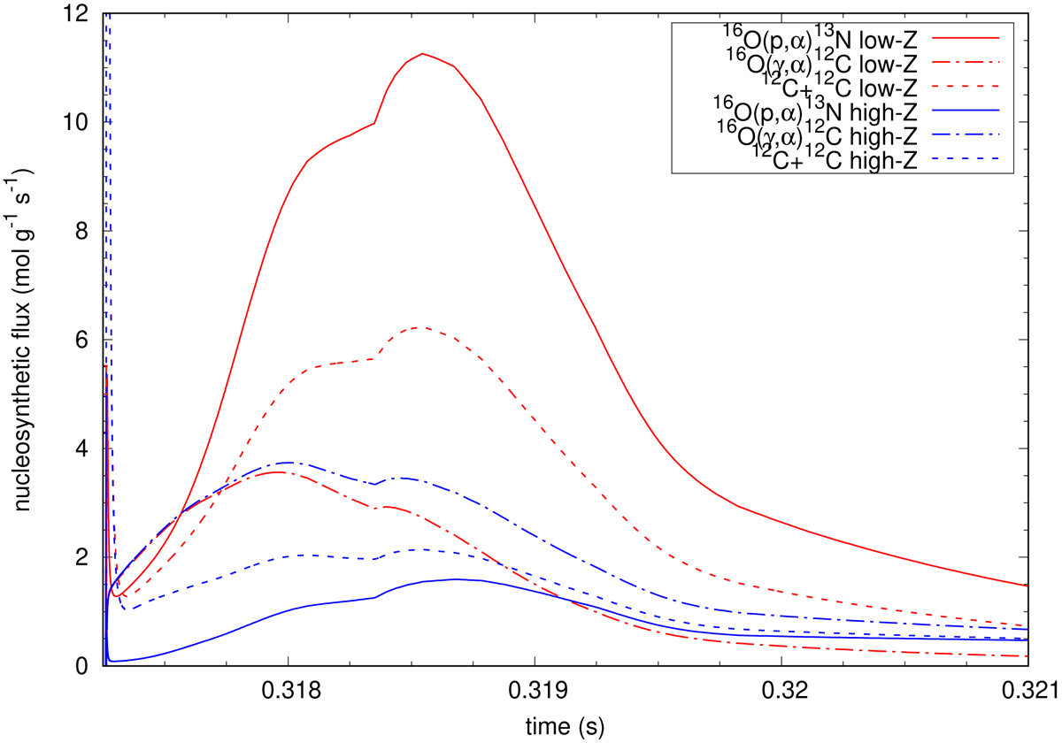
Fig. 1.

image

Nucleosynthetic fluxes from 16O to 12C due to the 16O(p,α)13N (solid lines) and the 16O(γ, α)12C (dot-dashed lines) reactions as a function of time, in a mass shell with peak temperature 4 × 109 K, for a 1.06 M WD with either progenitor metallicity Z = 2.25 × 10−4 (red) or Z = 0.0225 (blue). The nucleosynthetic flux of the 12C fusion reaction is also plotted with dotted lines.

Current usage metrics show cumulative count of Article Views (full-text article views including HTML views, PDF and ePub downloads, according to the available data) and Abstracts Views on Vision4Press platform.

Data correspond to usage on the plateform after 2015. The current usage metrics is available 48-96 hours after online publication and is updated daily on week days.

Initial download of the metrics may take a while.