Free Access

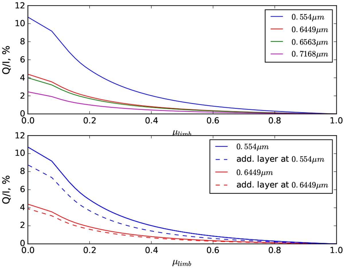
Fig. 8

image

Limb-darkening polarization, intensity-normalized Stokes Q parameter as a function of μlimb. Upper panel: these curves are presented in four filters for the stellar atmosphere only. Lower panel: additional molecular layer has been added to the stellar atmosphere for two of the filters.

Current usage metrics show cumulative count of Article Views (full-text article views including HTML views, PDF and ePub downloads, according to the available data) and Abstracts Views on Vision4Press platform.

Data correspond to usage on the plateform after 2015. The current usage metrics is available 48-96 hours after online publication and is updated daily on week days.

Initial download of the metrics may take a while.