Open Access

Fig. 4

image

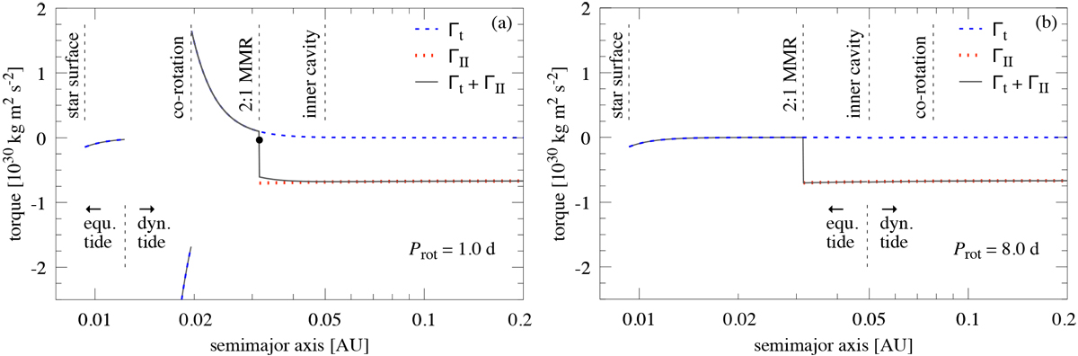
Torques exerted on a Jupiter-mass planet embedded in a proto-planetary disk around a young, solar-type star. a: nominal parameterization of the star–planet–disk model, with R = 2 R, Prot = 1 d, , Σp,0 = 1000 g cm−2, α = 10−3, μ = 1.85, κ = 10−7 m2 kg−1, and rmc = 0.05 AU. The blue dashed curve refers to the tidal torque (Γt), the red dotted line to the type-II migration torque of the disk (ΓII), and the thick solid line to the total torque. The location of zero total torque at 0.031 AU is indicated with a black circle. The factors Γt, and therefore also Γt + ΓII, swap signs at the stellar corotation radius, interior to which any planet would be rapidly pulled into the star. (b) similar to (a) but with Prot = 8 d.

Current usage metrics show cumulative count of Article Views (full-text article views including HTML views, PDF and ePub downloads, according to the available data) and Abstracts Views on Vision4Press platform.

Data correspond to usage on the plateform after 2015. The current usage metrics is available 48-96 hours after online publication and is updated daily on week days.

Initial download of the metrics may take a while.