Open Access

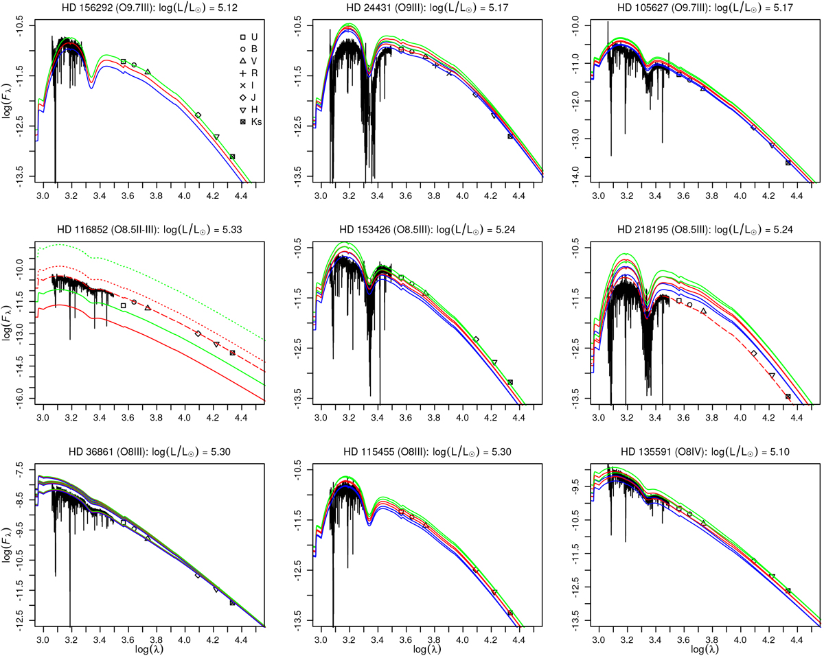
Fig. 6

image

Model SEDs (color lines) compared to the observed ones (black). The IUE/SWP+LWP and photometric data are listed in Table 1. Flux unit is in erg cm−2 s−1−1 and wavelength is in Å. Model SEDs in solid lines are computed with distances from Gaia DR2: 1 ∕ (π + σπ) (green), 1 ∕ π (red), 1 ∕ (πσπ) (blue). Model SEDs taking into account Hipparcos distances are shown in dotted lines (HD 116852). For the stars listed in Table 4, we show two set of models with different values of E(BV) and RV from our assumption and from Wegner (2003). For HD 36861, there are shown four sets of models with different extinction parameters, including one with E(BV) and RV from Wegner (2003). For HD 218195, we compare two sets of models with different values of E(BV). For HD 116852 and HD 218195, SED models considering the distances of 4.8 and 2.5 kpc are shown in red dashed line. See text for discussion.

Current usage metrics show cumulative count of Article Views (full-text article views including HTML views, PDF and ePub downloads, according to the available data) and Abstracts Views on Vision4Press platform.

Data correspond to usage on the plateform after 2015. The current usage metrics is available 48-96 hours after online publication and is updated daily on week days.

Initial download of the metrics may take a while.