Free Access

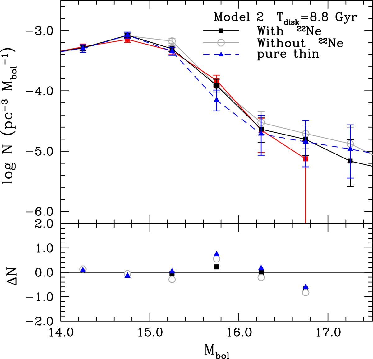
Fig. 9.

image

Faint end of the observed white dwarf luminosity function from Limoges et al. (2015; solid square and continuous red line) compared to our best-fit Model 2 when 22Ne sedimentation and a thick-disk population is taken into account (solid square and continuous black line), when 22Ne sedimentation is disregarded (open circle and continuous gray line), and when only a pure thin-disk population is considered (solid triangles and dashed blue line).

Current usage metrics show cumulative count of Article Views (full-text article views including HTML views, PDF and ePub downloads, according to the available data) and Abstracts Views on Vision4Press platform.

Data correspond to usage on the plateform after 2015. The current usage metrics is available 48-96 hours after online publication and is updated daily on week days.

Initial download of the metrics may take a while.