Open Access

Fig. 10

image

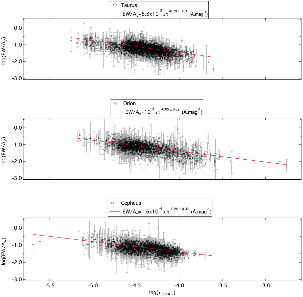
DIB EW/AV ratio towards stars behind Taurus (top), Orion (middle), and Cepheus (bottom) cloud complexes as a function of the dust optical thickness measured by Planck τ(353 GHz). Linear fits in the Log–Log scale are shown in red.

Current usage metrics show cumulative count of Article Views (full-text article views including HTML views, PDF and ePub downloads, according to the available data) and Abstracts Views on Vision4Press platform.

Data correspond to usage on the plateform after 2015. The current usage metrics is available 48-96 hours after online publication and is updated daily on week days.

Initial download of the metrics may take a while.