Open Access

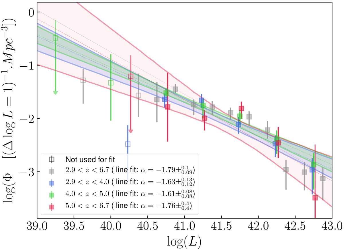
Fig. 11.

image

Luminosity function points computed for the four redshift bins. Each LF was fitted with a straight dotted line and the shaded areas are the 68% confidence regions derived from these fits. For the clarity of the plot, the confidence area derived for zall is not shown and a slight luminosity offset is applied to the LF points for z1 and z3.

Current usage metrics show cumulative count of Article Views (full-text article views including HTML views, PDF and ePub downloads, according to the available data) and Abstracts Views on Vision4Press platform.

Data correspond to usage on the plateform after 2015. The current usage metrics is available 48-96 hours after online publication and is updated daily on week days.

Initial download of the metrics may take a while.