Free Access

Fig. 11.

image

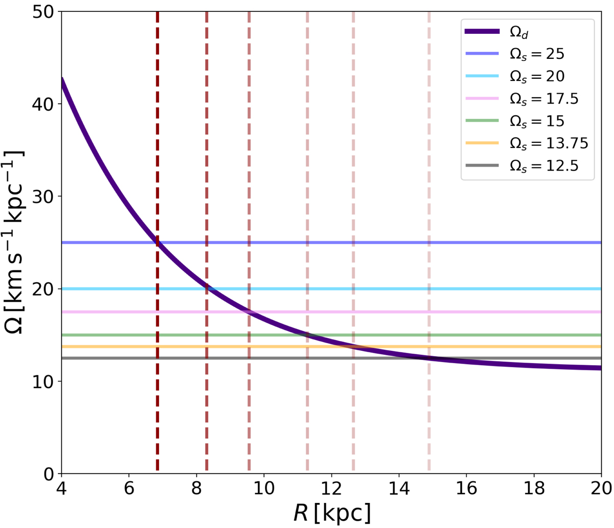
Disc angular velocity Ωd computed by Roca-Fàbrega et al. (2014) is indicated with light blue and violet lines. Different horizontal solid lines indicated the spiral pattern speed Ωs adopted in our models (see text and Table 1 for model details). The long, vertical dashed lines show the positions of the co-rotation radii assuming different Ωs values.

Current usage metrics show cumulative count of Article Views (full-text article views including HTML views, PDF and ePub downloads, according to the available data) and Abstracts Views on Vision4Press platform.

Data correspond to usage on the plateform after 2015. The current usage metrics is available 48-96 hours after online publication and is updated daily on week days.

Initial download of the metrics may take a while.