Free Access

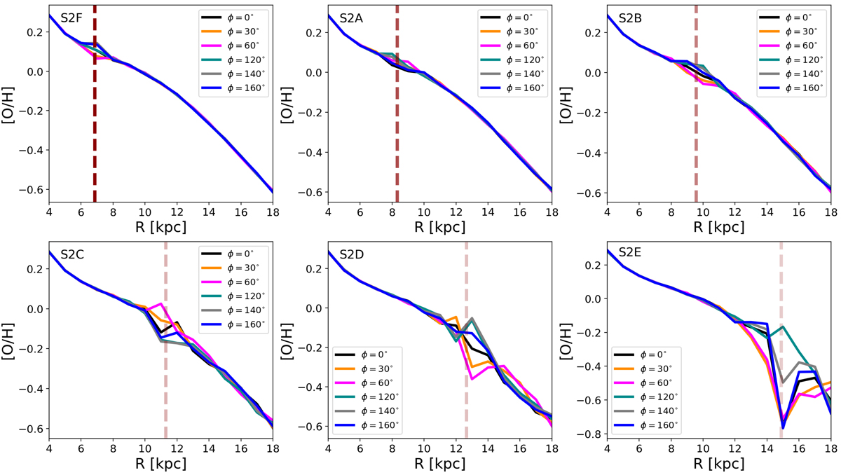
Fig. 12.

image

Present day oxygen abundance gradients for different azimuths, predicted by chemical models with spiral multiplicity m = 2 and different spiral pattern speed Ωs (see Table 1 for model details). In each panel the dashed vertical line indicates the location of the co-rotation radius. It is clear that allowing for multiple spiral patterns propagating through the disc at the same time affect the entire disc, similarly to the case of the MCM13 model.

Current usage metrics show cumulative count of Article Views (full-text article views including HTML views, PDF and ePub downloads, according to the available data) and Abstracts Views on Vision4Press platform.

Data correspond to usage on the plateform after 2015. The current usage metrics is available 48-96 hours after online publication and is updated daily on week days.

Initial download of the metrics may take a while.