Free Access

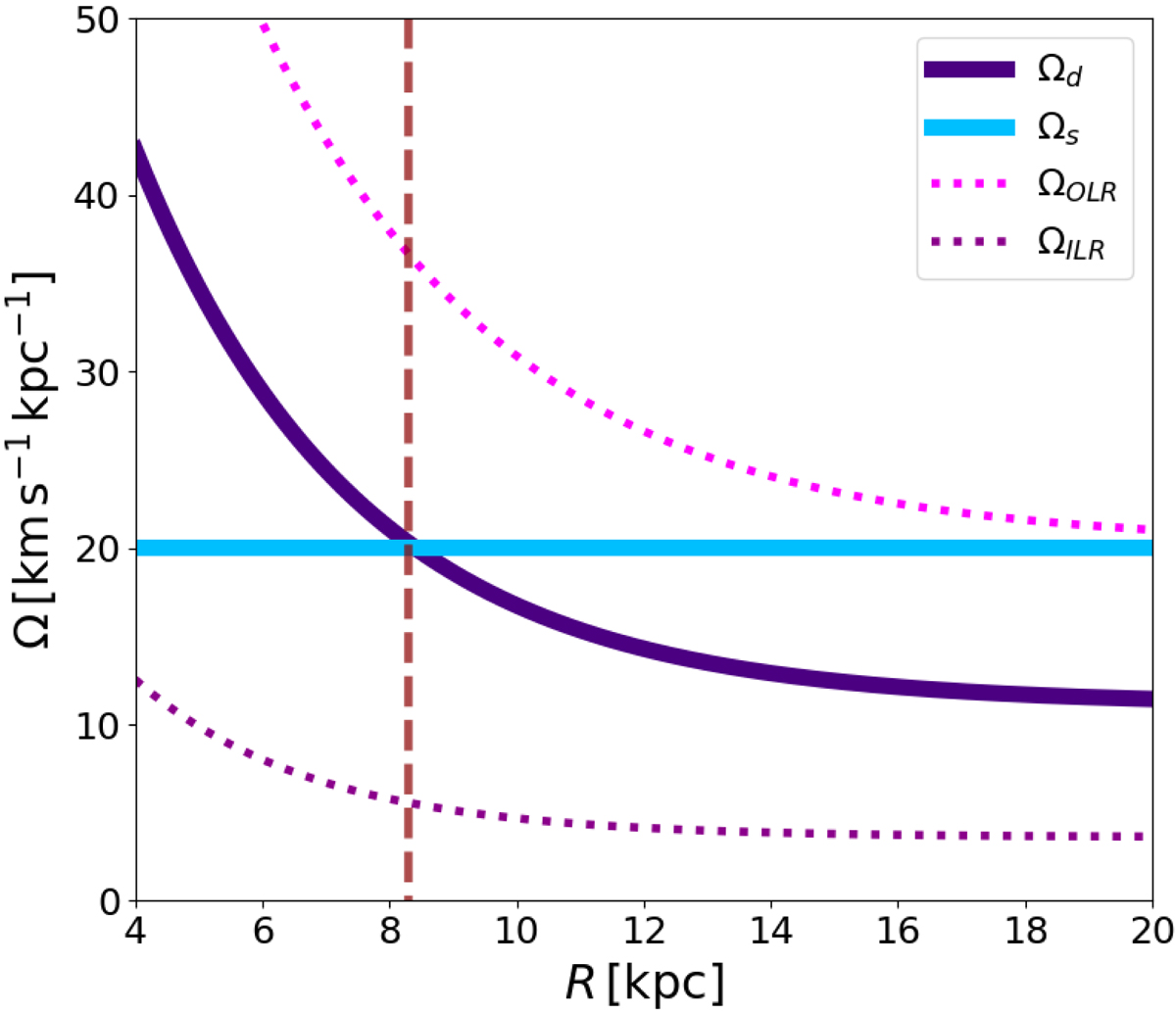
Fig. 8.

image

Spiral pattern speed Ωs and disc angular velocity Ωd computed by Roca-Fàbrega et al. (2014) are indicated with light blue and violet lines, respectively. With the long, vertical dashed red line, we show the position of the co-rotation radius located at the Galactocentric distance R = 8.31 kpc. Outer and inner Lindblad resonances extracted by the Roca-Fàbrega et al. (2014) simulation are also drawn with dotted magenta and dotted purple lines, respectively.

Current usage metrics show cumulative count of Article Views (full-text article views including HTML views, PDF and ePub downloads, according to the available data) and Abstracts Views on Vision4Press platform.

Data correspond to usage on the plateform after 2015. The current usage metrics is available 48-96 hours after online publication and is updated daily on week days.

Initial download of the metrics may take a while.