Free Access

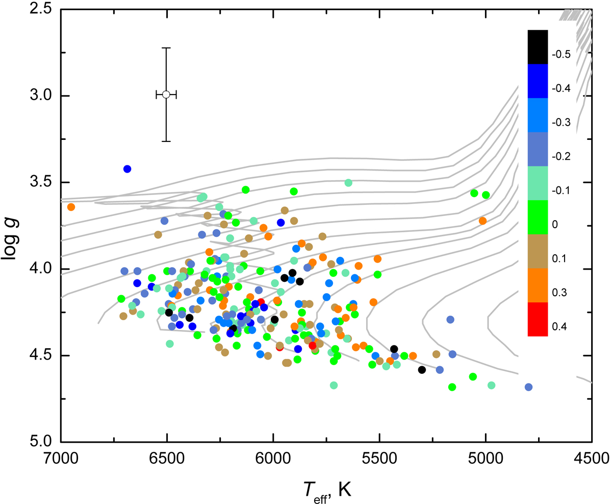
Fig. 5.

image

Temperature–gravity diagram of 249 stars (dots) of the investigated fields with colour-coded metallicity. Evolutionary tracks with masses between 0.7 and 1.9 M and Zini = 0.019 by Girardi et al. (2000) are plotted as grey solid lines.

Current usage metrics show cumulative count of Article Views (full-text article views including HTML views, PDF and ePub downloads, according to the available data) and Abstracts Views on Vision4Press platform.

Data correspond to usage on the plateform after 2015. The current usage metrics is available 48-96 hours after online publication and is updated daily on week days.

Initial download of the metrics may take a while.