Free Access

This article has an erratum: [https://doi.org/10.1051/0004-6361/201935064e]


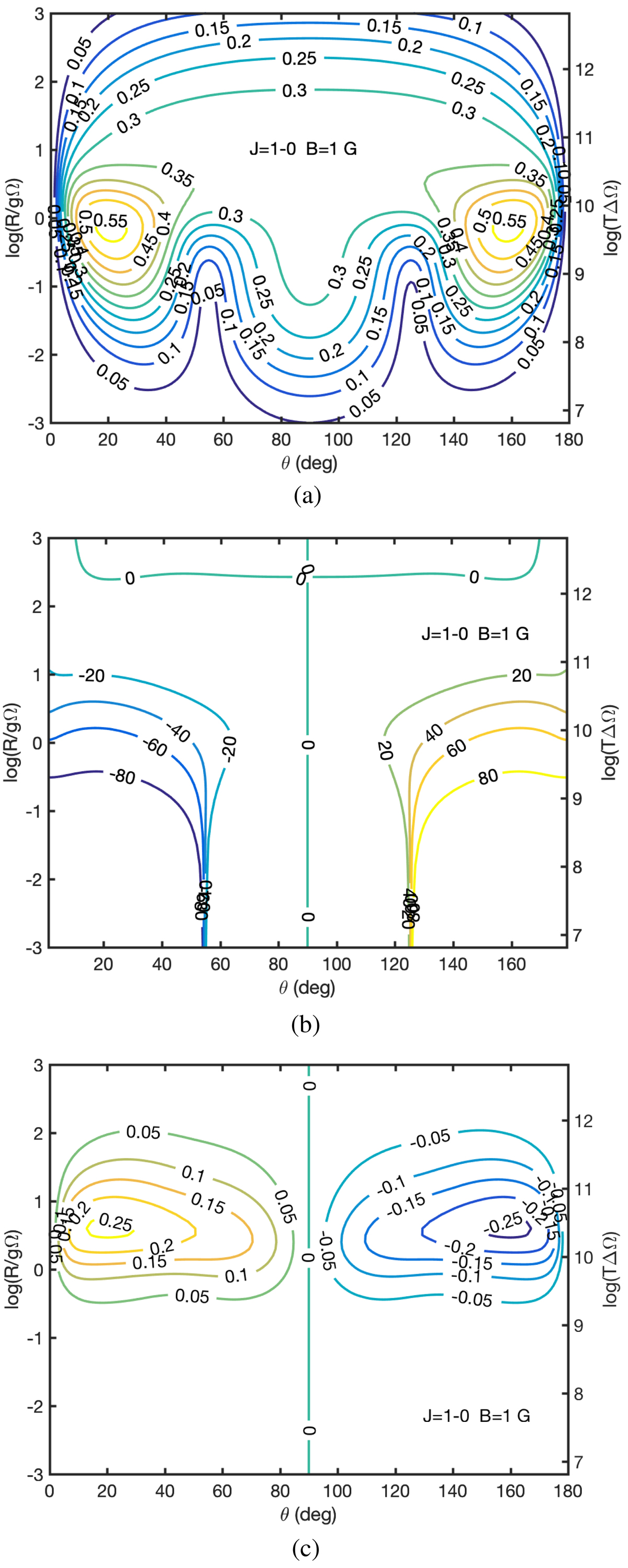
Fig. 1.

image

Contour polarization plots of v = 1 SiO masers. The linear polarization fraction (a), angle (b), and circular polarization fraction (c) are plotted as a function of the propagation angle θ and the rate of stimulated emission. Magnetic field strength and transition angular momentum are indicated. For simulations with Jup >  1 and other magnetic field strengths, see Figs. A.1A.3

Current usage metrics show cumulative count of Article Views (full-text article views including HTML views, PDF and ePub downloads, according to the available data) and Abstracts Views on Vision4Press platform.

Data correspond to usage on the plateform after 2015. The current usage metrics is available 48-96 hours after online publication and is updated daily on week days.

Initial download of the metrics may take a while.