Free Access

This article has an erratum: [https://doi.org/10.1051/0004-6361/201935064e]


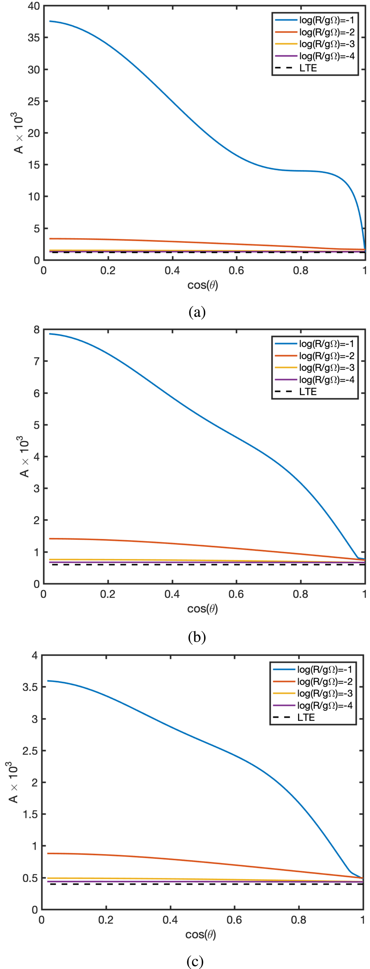
Fig. 13.

image

The AJJ coefficients of an isotropically pumped SiO maser at B = 1 G as a function of the magnetic field propagation direction angle cosθ. The different panels give the (a) J = 1−0, (b) J = 2−1, and (c) J = 3−2 transitions. Plots are given for different log(R/gΩ). The LTE solutions (constant over cosθ) are indicated with a dotted line.

Current usage metrics show cumulative count of Article Views (full-text article views including HTML views, PDF and ePub downloads, according to the available data) and Abstracts Views on Vision4Press platform.

Data correspond to usage on the plateform after 2015. The current usage metrics is available 48-96 hours after online publication and is updated daily on week days.

Initial download of the metrics may take a while.