Free Access

This article has an erratum: [https://doi.org/10.1051/0004-6361/201935064e]


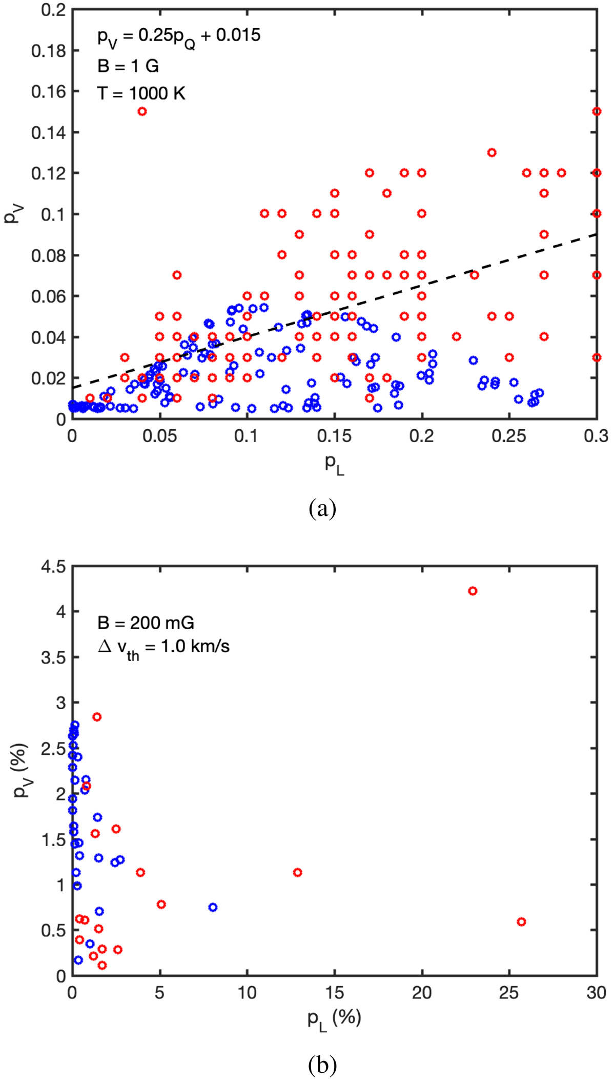
Fig. 14.

image

Scatter plot for the linear-to-circular polarization fraction relation pL − pV. In red, the observations of (a) Herpin et al. (2006) and (b) Surcis et al. (2011) are reported. In panel (a) the blue points come from our simulations of the J = 2−1 transition at B = 1 G, with the kinetic temperature of the maser T = 1000 K. In (panel b) the blue points come from our simulations of the isotropically pumped water maser at vth = 1.0 km s−1 and B = 200 mG. To generate these scatters, we computed the polarization fractions from (a) 200 (b: 30) isotropically pumped masers with a randomly selected a luminosity between (a) TbΔΩ = 106−1011 (b: TbΔΩ = 108.5−1011) and a randomly selected propagation angle θ. In the scatter plot, we do not include masers that show polarization <0.5% (b: < 0.1%). In (panel a), we also report the linear regression analysis result from Herpin et al. (2006).

Current usage metrics show cumulative count of Article Views (full-text article views including HTML views, PDF and ePub downloads, according to the available data) and Abstracts Views on Vision4Press platform.

Data correspond to usage on the plateform after 2015. The current usage metrics is available 48-96 hours after online publication and is updated daily on week days.

Initial download of the metrics may take a while.