Free Access

This article has an erratum: [https://doi.org/10.1051/0004-6361/201935064e]


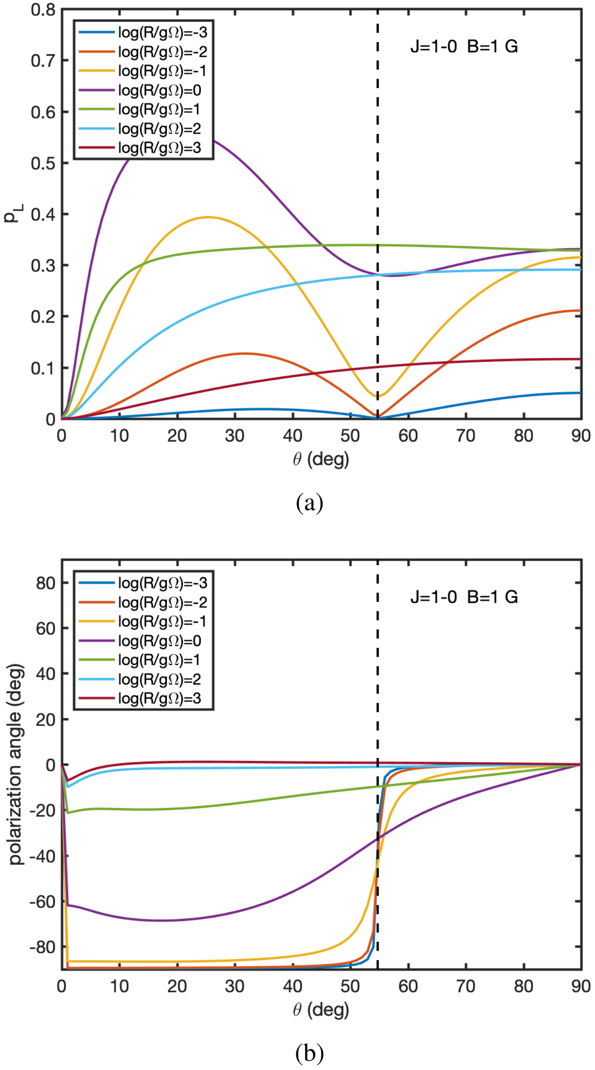
Fig. 2.

image

Linear polarization fraction (a) and angle (b) of isotropically pumped v = 1 SiO masers as a function of the propagation angle θ for different saturation rates. The sharp 90° flip of the polarization at the magic angle (black dotted line) becomes less sharp and disappears with increasing levels of saturation. Magnetic field strength and transition angular momentum are indicated.

Current usage metrics show cumulative count of Article Views (full-text article views including HTML views, PDF and ePub downloads, according to the available data) and Abstracts Views on Vision4Press platform.

Data correspond to usage on the plateform after 2015. The current usage metrics is available 48-96 hours after online publication and is updated daily on week days.

Initial download of the metrics may take a while.