Free Access

This article has an erratum: [https://doi.org/10.1051/0004-6361/201935064e]


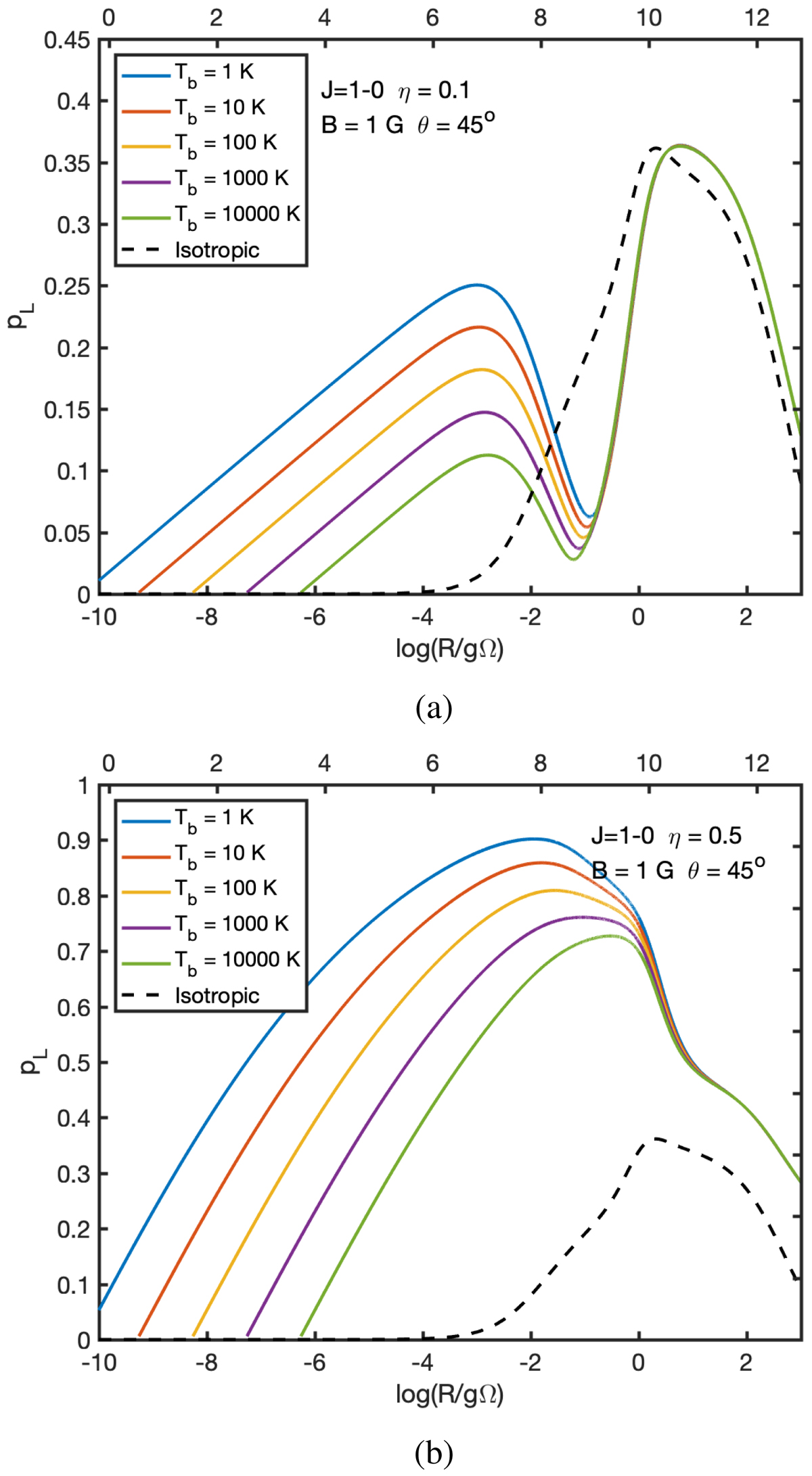
Fig. 6.

image

Plots of the linear polarization fraction of anisotropically pumped SiO masers as a function of the rate of stimulated emission. Maser simulations performed with anisotropy parameters of (a) η = 0.1 and (b) η = 0.5. Simulations are performed for a range of incident radiation strengths, as indicated in the figure. Magnetic field strength, propagation angle, and transition angular momentum are indicated.

Current usage metrics show cumulative count of Article Views (full-text article views including HTML views, PDF and ePub downloads, according to the available data) and Abstracts Views on Vision4Press platform.

Data correspond to usage on the plateform after 2015. The current usage metrics is available 48-96 hours after online publication and is updated daily on week days.

Initial download of the metrics may take a while.