Free Access

This article has an erratum: [https://doi.org/10.1051/0004-6361/201935064e]


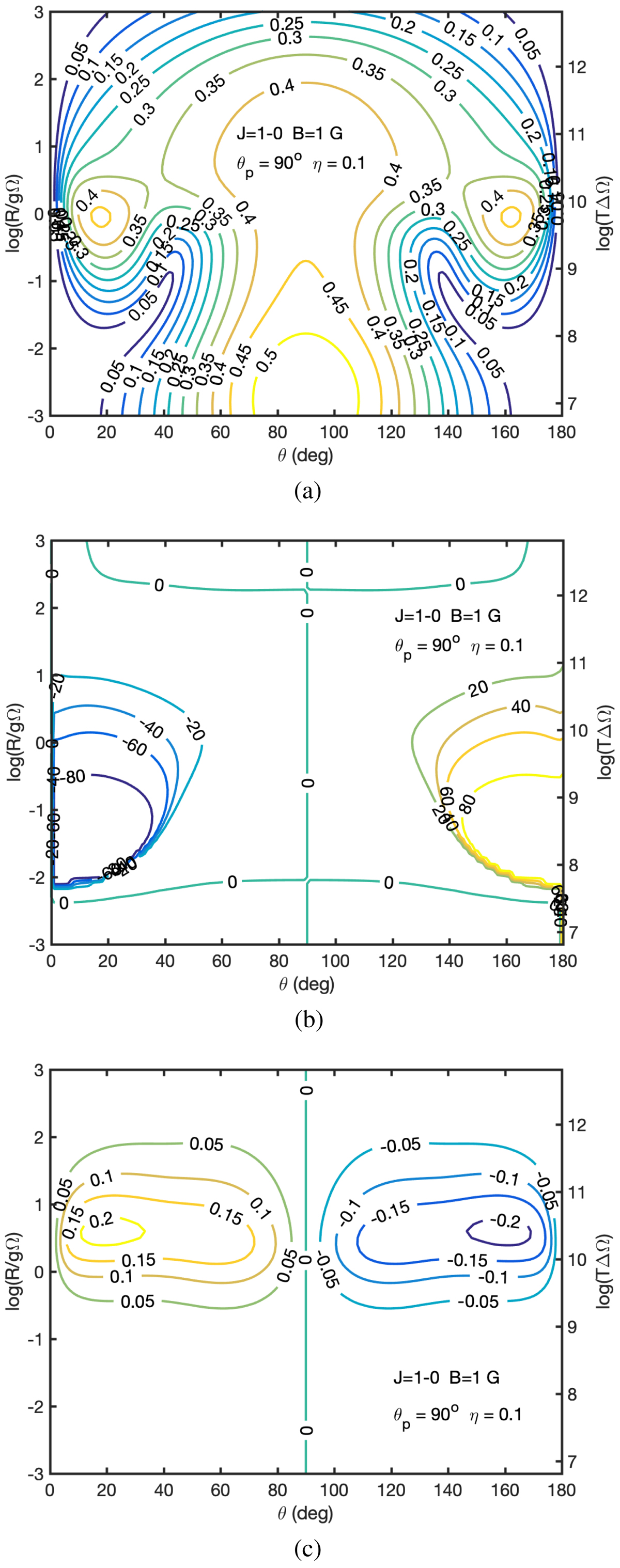
Fig. 7.

image

Contour plot of the (a) linear polarization fraction, (b) polarization angle, and (c) circular polarization fraction of anisotropically pumped SiO masers as a function of the rate of stimulated emission and the angle θ. Maser simulations were performed with anisotropy parameters of η = 0.1 and at an anisotropy angle perpendicular to the magnetic field and propagation direction. Simulations were performed for an incident radiation-strength of Tb = 0.1 K, but here only a small part of the region sensitive to this parameter is shown. Magnetic field strength and transition angular momentum are indicated. For simulations with Jup >  1 and other magnetic field strengths, see Figs. A.10A.18 in the Appendix.

Current usage metrics show cumulative count of Article Views (full-text article views including HTML views, PDF and ePub downloads, according to the available data) and Abstracts Views on Vision4Press platform.

Data correspond to usage on the plateform after 2015. The current usage metrics is available 48-96 hours after online publication and is updated daily on week days.

Initial download of the metrics may take a while.