Free Access

This article has an erratum: [https://doi.org/10.1051/0004-6361/201935064e]


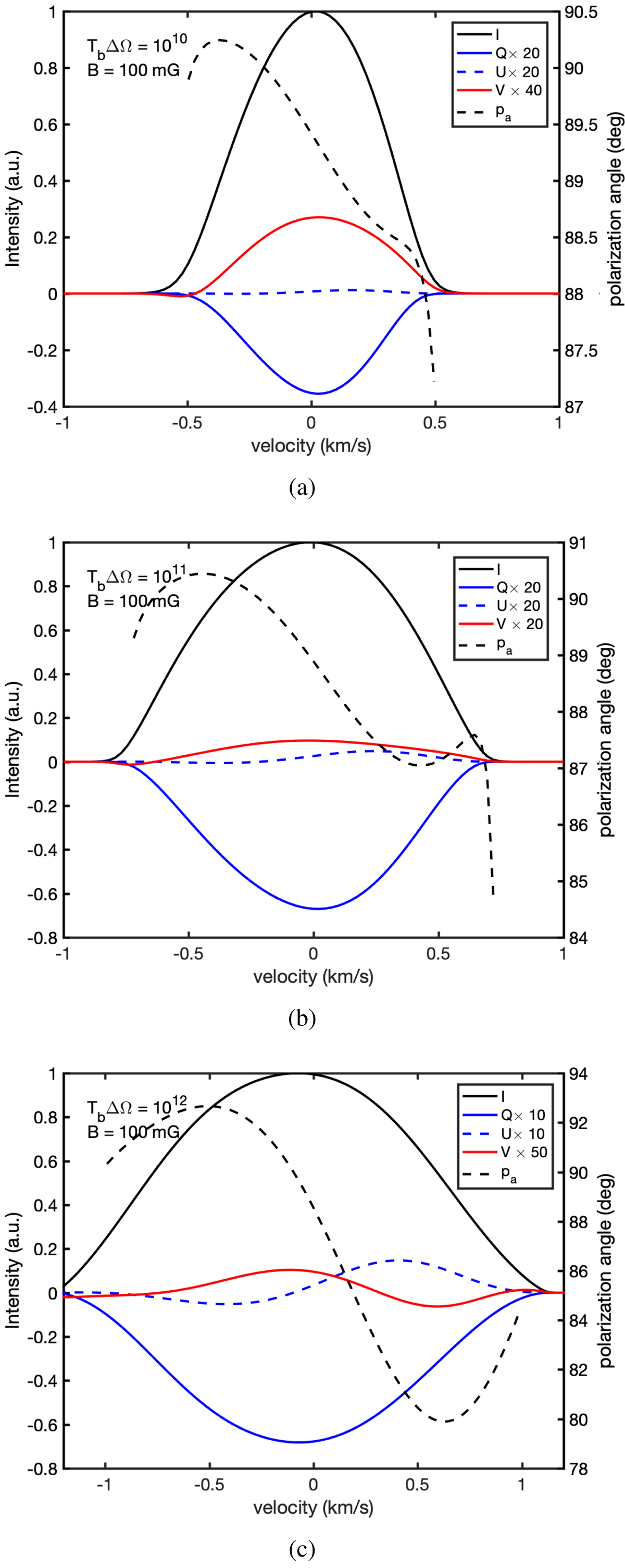
Fig. 9.

image

Water 22 GHz maser spectra for different levels of saturation. Plotted are all Stokes parameters (lefty-axis) and polarization angles (righty-axis). The polarization angle is defined with respect to the magnetic field direction projected on the plane of the sky. Simulations were carried out at B = 100 mG, vth = 1 km s−1, and with a magnetic field propagation angle of θ = 45°.

Current usage metrics show cumulative count of Article Views (full-text article views including HTML views, PDF and ePub downloads, according to the available data) and Abstracts Views on Vision4Press platform.

Data correspond to usage on the plateform after 2015. The current usage metrics is available 48-96 hours after online publication and is updated daily on week days.

Initial download of the metrics may take a while.