Open Access

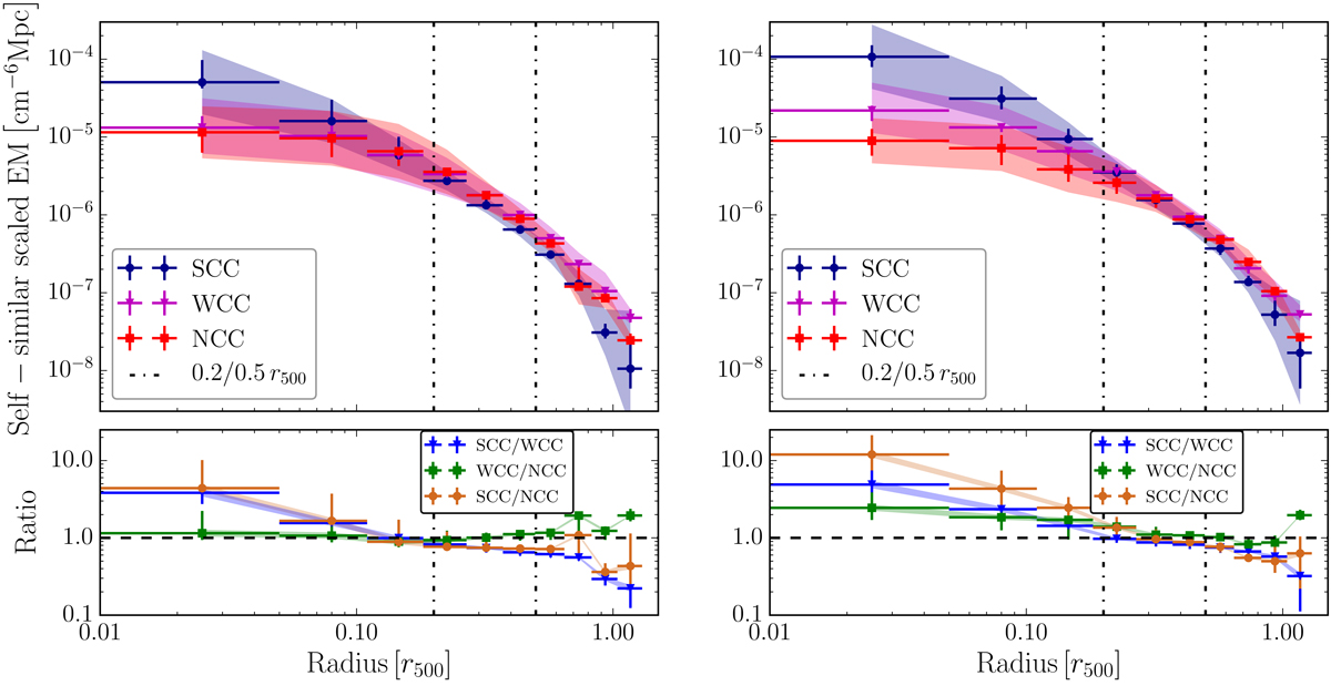
Fig. 2.

image

Top panels: weighted mean (left panel) and median (right panel) self-similar scaled emission measure profiles for the individual core types of HIFLUGCS objects with temperatures greater than 3 keV. Bottom panels: Ratio of the self-similar scaled emission measure profiles between the different core type populations. Shown error bars were estimated with 10 000 bootstrapping iterations. The shaded regions represent the intrinsic scatter values of each bin.

Current usage metrics show cumulative count of Article Views (full-text article views including HTML views, PDF and ePub downloads, according to the available data) and Abstracts Views on Vision4Press platform.

Data correspond to usage on the plateform after 2015. The current usage metrics is available 48-96 hours after online publication and is updated daily on week days.

Initial download of the metrics may take a while.