Free Access

Fig. 5

image

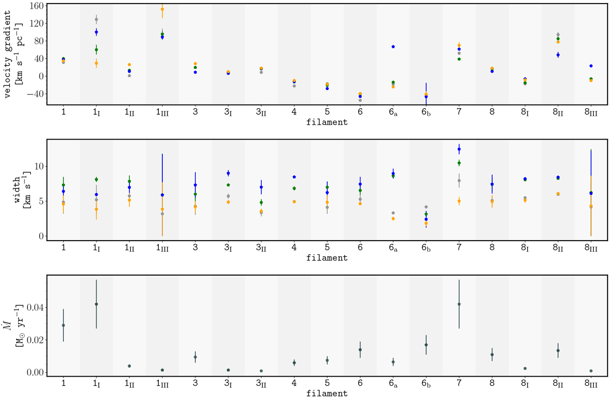
Overview picture of the velocity gradients (top panel), velocity linewidths (middle panel) and mass accretion rates (bottom panel) along all filaments and subfilaments (indicated by roman numbers) in Sgr B2(N), see Sects. 3.1 and 3.2. Additional velocity components in filament F06 are marked as 6a and 6b. The gray, green, blue, and orange symbols correspond to the molecules CH3OCHO, CH3OCH3, CH3OH and 13CH3OH, respectively.

Current usage metrics show cumulative count of Article Views (full-text article views including HTML views, PDF and ePub downloads, according to the available data) and Abstracts Views on Vision4Press platform.

Data correspond to usage on the plateform after 2015. The current usage metrics is available 48-96 hours after online publication and is updated daily on week days.

Initial download of the metrics may take a while.