Free Access

Fig. 5.

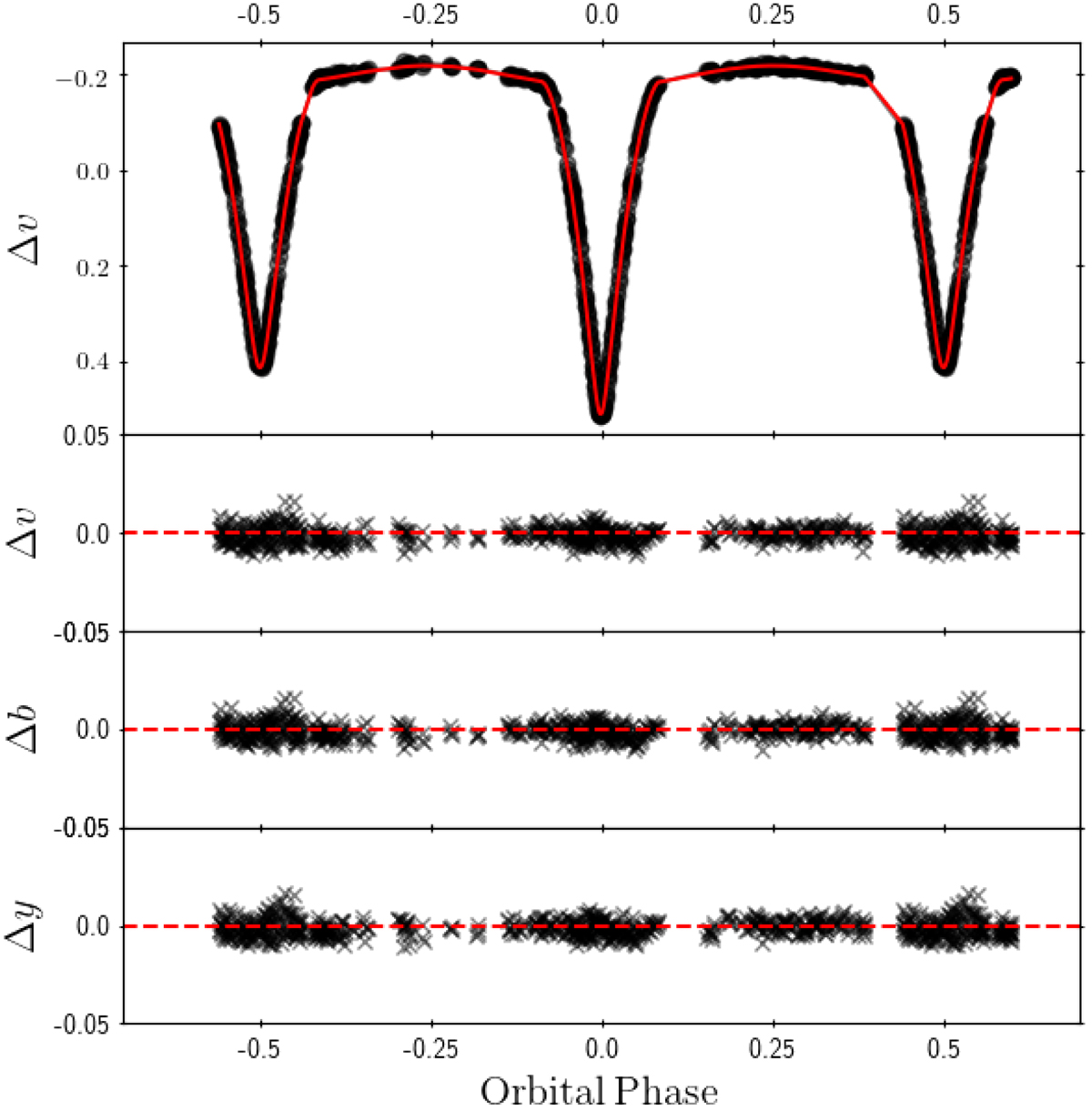
image

Top panel: U Oph PHOEBE model (solid red) for the Stromgren v light curve (black x’s) constructed from median values reported in Table 4. Bottom panels: residual light curves in the vby filters after the best model has been removed. The dashed red line denotes the zero point to guide the eye.

Current usage metrics show cumulative count of Article Views (full-text article views including HTML views, PDF and ePub downloads, according to the available data) and Abstracts Views on Vision4Press platform.

Data correspond to usage on the plateform after 2015. The current usage metrics is available 48-96 hours after online publication and is updated daily on week days.

Initial download of the metrics may take a while.