Free Access

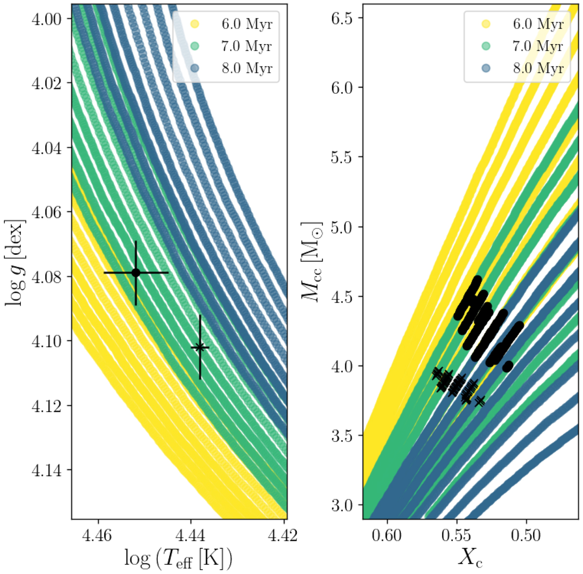
Fig. 6.

image

Left: isochrone-clouds for the ages reported in Table 6 with the spectroscopic uncertainties plotted for CW Cep A and B in black. Right: convective mass plotted against the core hydrogen content for the isochrone-clouds shown in the left panel in grey. Those regions which are allowed by the spectroscopic uncertainties for CW Cep A and B are shown as black circles and x’s, respectively.

Current usage metrics show cumulative count of Article Views (full-text article views including HTML views, PDF and ePub downloads, according to the available data) and Abstracts Views on Vision4Press platform.

Data correspond to usage on the plateform after 2015. The current usage metrics is available 48-96 hours after online publication and is updated daily on week days.

Initial download of the metrics may take a while.