Highlight
Open Access

This article has an erratum: [https://doi.org/10.1051/0004-6361/201935428e]


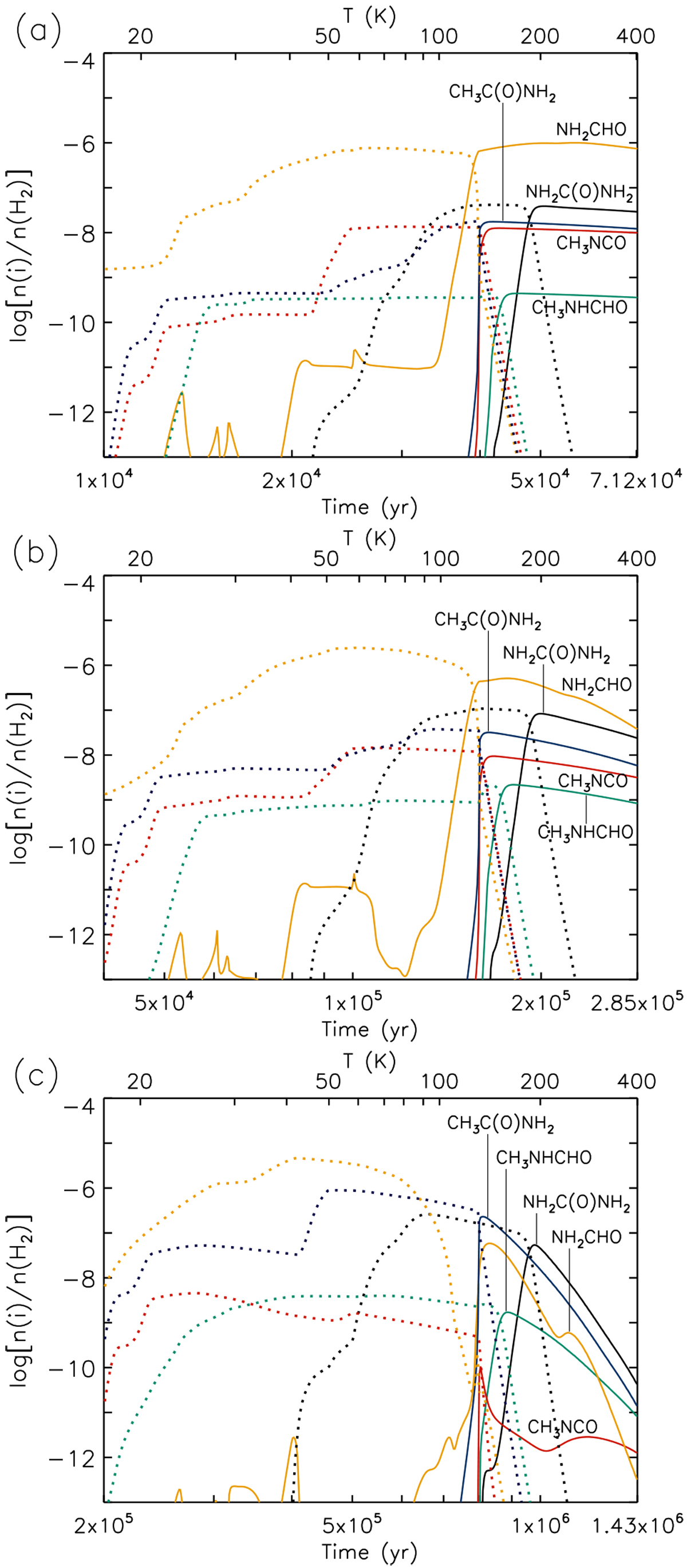
Fig. 5

image

Fractional abundances relative to H2 with respect to time during the warm-up stage of the astrochemical model. Solid lines indicate gas-phase abundances; dashed lines of the same color indicate the same molecules in the solid phase. Panel a: fast warm-up model; panel b: medium warm-up model; panel c: slow warm-up model.

Current usage metrics show cumulative count of Article Views (full-text article views including HTML views, PDF and ePub downloads, according to the available data) and Abstracts Views on Vision4Press platform.

Data correspond to usage on the plateform after 2015. The current usage metrics is available 48-96 hours after online publication and is updated daily on week days.

Initial download of the metrics may take a while.