Free Access

This article has an erratum: [https://doi.org/10.1051/0004-6361/201935430e]


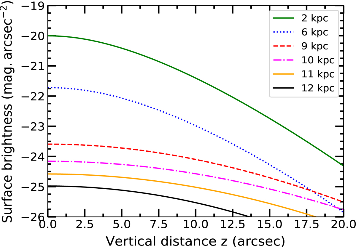
Fig. 9.

image

Results for the surface brightness distribution along z for R = 2, 6, 9, 10, 11, and 12 kpc. The profiles flatten with increasing radii from R = 2 to 10 kpc, indicating an increase in disk thickness and strong flaring at 9 and 10 kpc. The slight decrease in disk thickness seen at 11 and 12 kpc is due to the effect of the observed decline in rotation curve.

Current usage metrics show cumulative count of Article Views (full-text article views including HTML views, PDF and ePub downloads, according to the available data) and Abstracts Views on Vision4Press platform.

Data correspond to usage on the plateform after 2015. The current usage metrics is available 48-96 hours after online publication and is updated daily on week days.

Initial download of the metrics may take a while.