Free Access

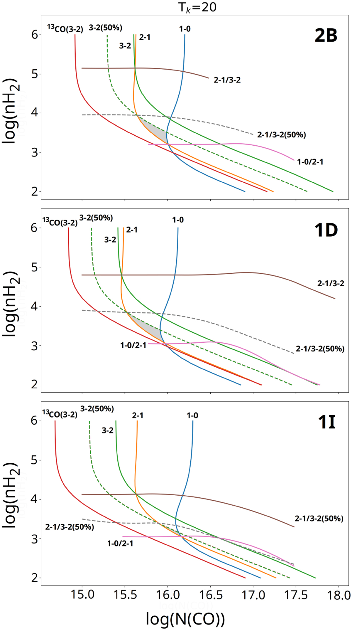
Fig. 11

image

Radex results obtained from the 12CO lines toward the peaks of the most intense clumps: 2B, 1D, and 1I (from top to bottom). Dashed lines are the results obtained from the assumption that 50% of the 12CO J = 3–2 emission arises from the cold component at 20 K. The gray shaded areas in each panel show the regions of most probable values of N(CO) and . For comparison, results obtained from the 13CO J = 3–2 line are also included.

Current usage metrics show cumulative count of Article Views (full-text article views including HTML views, PDF and ePub downloads, according to the available data) and Abstracts Views on Vision4Press platform.

Data correspond to usage on the plateform after 2015. The current usage metrics is available 48-96 hours after online publication and is updated daily on week days.

Initial download of the metrics may take a while.