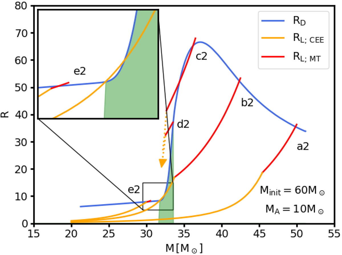
Fig. 15.

Donor radius as a function of mass in thermal equilibrium (blue). The red lines show the Roche radius as a function of donor mass during the binary calculation that includes a 10 M⊙ accretor and no stellar wind of the donor. The yellow lines show the Roche radius after the binary calculation has stopped and CE is initiated. The orbital separation and hence the Roche radius was inferred using the energy budget description of CE. The green area marks the position of the H/He transition layer.
Current usage metrics show cumulative count of Article Views (full-text article views including HTML views, PDF and ePub downloads, according to the available data) and Abstracts Views on Vision4Press platform.
Data correspond to usage on the plateform after 2015. The current usage metrics is available 48-96 hours after online publication and is updated daily on week days.
Initial download of the metrics may take a while.